Buenas tardes David, el enunciado se encuentra en las anteriores fotos que me habías contestado, me había sucedido que había adjuntado dos fotos iguales y la que me faltaba la he puesto aparte, estas son las restrincciones que me preguntas en el otro lado.
De todas maneras gracias
Hola, buenas tardes. No sé si voy bien o no, por que creo que es un poco raro lo que me sale, si me podéis ayudar os lo agradecería.
Gracias de antemano.

¿cuales son las restricciones que has tratado de representar?...
10000x +15000y <=600000.... 10x+15y <= 600
x>=y...
x<=45
y>=0
x>=0
Y tu funcion objetivo es x+y...
¿Las representas todas en un mismo eje de coordenadas y nos cuentas?
¿has visto los videos de "programacion lineal"...
Expresar el numero 4 como la suma de dos numeros positivos de manera que la suma del cuadrado del primero con el cubo del segundo sea lo mas pequeña posible
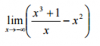
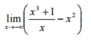
¿Alguien me puede ayudar con este limite?
lim √x2-x+1 + x
x→∞