Hallar todos los z pertenecientes a los complejos tal que i^5 por z conjugado^6=81 por z^2, y Im (Z) mayor o igual a cero.use el teorema de moivre,pero no estoy seguro,preciso resolucion, desde Ya gracias.

Hola! Me encantaría ayudarte, pero no respondo dudas universitarias que no tengan que ver específicamente con los videos que ya he grabado como excepcion. O de otras asignaturas que no sean matemáticas, física y química. Lo siento de corazón… Espero lo entiendas
Ojalá algun unicoo universitario se anime a ayudarte (de hecho lo ideal es que todos los universitarios intentarais ayudaros los unos a los otros)
Hola Unicoos ,por favor ayudenme con este ejercicio. No entiendo porqué te dan de dato que la probabilidad de obtener cada número es proporcional al cuadrado del valor .
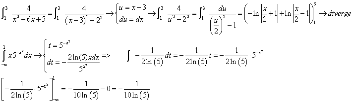
Hola, alguien me podría decir como calcular la convergencia de esta serie?? (-1)^n [n((1+1/n)^2n - (1+2/n)^n)]^ -log(n) . Muchas gracias

Hola! Me encantaría ayudarte, pero no respondo dudas universitarias que no tengan que ver específicamente con los videos que ya he grabado como excepcion. O de otras asignaturas que no sean matemáticas, física y química. Lo siento de corazón… Espero lo entiendas
Ojalá algun unicoo universitario se anime a ayudarte (de hecho lo ideal es que todos los universitarios intentarais ayudaros los unos a los otros)