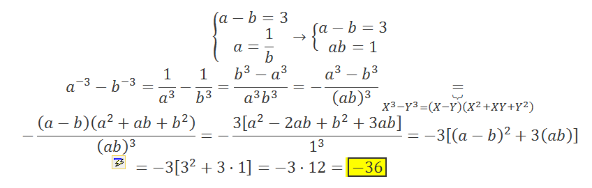
x= Preguntas que Sergio respondió correctamente
y= Preguntas que Sergio respondió incorrectamente
Como respondió a todas, entonces las correctas más las incorrectas sumarán 60, como dice el enunciado: (1*) x+y=60
La segunda parte la simbolizas bien: (2*) (1/5)x=y
Tienes que resolver el sistema de ecuaciones que forman (1*) y (2*), sustituyendo (2*) en (1*), y obtienes:
x + (1/5)x = 60
(6/5)x=60
6x=60*5
6x=300
x=50
CONCLUIMOS QUE SERGIO RESPONDIÓ CORRECTAMENTE 50 PREGUNTAS, LA OPCIÓN CORRECTA ES LA B)
Me ayudan con este ejercicio , me piden
a) asintotas
b) intervalos de crecimiento, decrecimiento, extremos y punto de inflexion
F(x): (X^2 -9 ) / (X+5) aclaracion: ( equis al cuadrado - nueve sobre equis + cinco)
Respuestas: a) A.V x=-5 A.H no hay y A.O y=x-5 b) al hacer f'(x) me dio -x^2 +2x+9 /(x+5) y al hacer f(x)=0 consegui x1= 1- raiz de 10 y x2= 1+ raiz de 10
Que dicen ? Son correctas mis respuestas ?

Vamos con un planteo alternativo.
Observa que el dominio de la función es: D = R - {-5}, y observa que el numerador de la expresión es de mayor grado que el denominador, por lo que puedes efectuar la división con la Regla de Ruffini, y obtendrás que la expresión del cociente es: x - 5, y que el resto es 16. Luego, a partir del algoritmo de división, podemos escribir:
F(x) = x - 5 + 16/(x+5) (1),
luego, a expresión de la derivada primera queda:
F ' (x) = 1 - 16/(x+5)2 (2),
y la expresión de la derivada segunda queda:
F ' ' (x) = 32/(x+5)3 (3),
y observa que tanto la derivada primera como la derivada segunda están definidas en todo el dominio de la función.
Luego pasamos al ejercicio:
a)
Asíntotas horizontales: Lím(x→±∞) F(x) = Lím(x→±∞) ( x - 5 + 16/(x+5) ) = ±∞,
por lo que tenemos que la gráfica de la función no presenta asíntotas horizontales por derecha ni por izquierda.
Asíntotas verticales: estudiamos los límites laterales para x tendiendo a -5:
Lím(x→-5-) F(x) = Lím(x→-5-) ( x - 5 + 16/(x+5) ) = -∞,
por lo que tenemos que la gráfica de la función presenta asíntota vertical inferior por la izquierda, cuya ecuación es: x = - 5;
Lím(x→-5+) F(x) = Lím(x→-5+) ( x - 5 + 16/(x+5) ) = +∞,
por lo que tenemos que la gráfica de la función presenta asíntota vertical superior por la derecha, cuya ecuación es: x = - 5.
Asíntotas oblicuas: estudiamos el límite para x tendiendo a infinito del término fraccionario en la expresión de la función:
observa que el término 16/(x+5) tiende a cero, luego lo despreciamos en la expresión dela función, por ser mucho menor que la otra parte de la expresión,
por lo que tenemos que la gráfica de la función presenta asíntota oblicua cuya ecuación es: y = x - 5.
b)
Planteamos la condición de punto crítico (posible máximo o posible mínimo):
F ' (x) = 0, sustituimos la expresión señalada (2) y queda:
1 - 16/(x+5)2 = 0, hacemos pasaje de término y queda:
1 = 16/(x+5)2, hacemos pasaje de divisor como factor y queda:
(x + 5)2 = 16, hacemos pasaje de potencia como raíz y tenemos dos opciones:
b1) x + 5 = - 4, de donde despejamos: x = - 9;
b2) x + 5 = 4, de donde despejamos: x = - 1.
Luego, planteamos los siguientes intervalos, en los que elegimos un punto testigo y evaluamos la expresión de la derivada primera en cada uno de ellos:
(-∞,-9), representado por x = -10, y para él tenemos: F ' (-10) = 1 - 16/25 = 9/25 > 0, por lo que tenemos que la gráfica de la función es creciente en este intervalo;
(-9,-5), representado por x = -6, y para él tenemos: F ' (-6) = 1 - 16/1 = - 15 < 0, por lo que tenemos que la gráfica de la función es decreciente en este intervalo;
(-5,-1), representado por x = -4, y para él tenemos: F ' (-4) = 1 - 16/1 = - 15 < 0, por lo que tenemos que la gráfica de la función es decreciente en este intervalo;
(-1,+∞), representado por x = 0, y para él tenemos: F ' (0) = 1 - 16/25 = 9/25 > 0, por lo que tenemos que la gráfica de la función es creciente en este intervalo;
luego, observando los resultados que hemos obtenido en los dos primeros intervalos,
tenemos que la gráfica de la función presenta un máximo en x = - 9, y el valor de la función es: F(-9) = - 9 - 5 + 16/16 = - 13;
luego, observando los resultados que hemos obtenido en los dos últimos intervalos,
tenemos que la gráfica de la función presenta un mínimo en x = - 1, y el valor de la función es: F(-1) = -1 - 5 + 16/1 = -5.
Luego planteamos la condición de posible punto de inflexión:
F ' ' (x) = 0, sustituimos la expresión señalada (3) y queda:
32/(x+5)3 = 0, hacemos pasaje de divisor como factor y queda:
32 = 0, que es una identidad falsa, por lo que concluimos que la gráfica de la función no presenta puntos de inflexión.
Luego, tenemos dos intervalos para estudiar la concavidad (recuerda que tenemos una discontinuidad), en los que elegimos un punto testigo y evaluamos la expresión de la derivada segunda qn cada uno de ello:
(-∞,-5), representado por x = - 6, y para él tenemos: F ' ' (-6) = 32/(-1) = - 32 < 0, por lo que tenemos que la gráfica de la función es cóncava hacia abajo en este intervalo;
(-5,+∞), representado por x = - 4, y para él tenemos: f ' ' (-4) = 32/1 = 32 > 0, por lo que tenemos que la gráfica de la función es cóncava hacia arriba en este intervalo.
Espero haberte ayudado.
Buenas noches.Necesitaria saber si esta ecuacion corresponde a una circunferencia..
x^2+y^2+x+2y+5=0

Ordenamos y agrupamos términos según las incógnitas:
(x2 + 1x) + (y2 + 2y) + 5 = 0, luego sumamos y restamos términos en los agrupamientos para obtener trinomios cuadrados perfectos:
(x2 + 1x + 1/4 - 1/4) + (y2 + 2y + 1 - 1) + 5 = 0, factorizamos los trinomios cuadrados perfectos:
(x + 1/2)2 - 1/4 + (y + 1)2 - 1 + 5 = 0, reducimos términos numéricos:
(x + 1/2)2 + (y + 1)2 + 15/4 = 0, hacemos pasaje de término y queda:
(x + 1/2)2 + (y + 1)2 = -15/4,
que es una ecuación que no representa a una circunferencia, porque en su primer miembro tiene la suma de dos términos positivos (observa que son dos cuadrados), que debe ser igual al número negativo que está en el segundo miembro, lo que resulta absurdo..
Espero haberte ayudado.

Vamos con una orientación.
Puedes partir del desarrollo de McLaurin para la función exponencial:
eu = 1 + u + u2/2! + u3/3! + u4/4! + ... = 1 + ∑(k=1,∞) uk/k!
Luego haces la sustitución (cambio de variable): u = -t2, sustituyes y queda:
e-t^2 = 1 - t2 + t4/2! - t6/3! + t8/8! + ... = 1 + ∑(k=1,∞) (-1)k*t2k/k!
Luego planteamos el numerador del integrando (de ahora en adelante, con la expresión de sumatoria).
1 - e-t^2 = 1 - ( 1 + ∑(k=1,∞) (-1)k*t2k/k! ) = 1 - 1 - ∑(k=1,∞) (-1)k*t2k/k! = - ∑(k=1,∞) (-1)k*t2k/k! = ∑(k=1,∞) (-1)k+1*t2k/k!
Luego (observa que el menor grado entre los términos de la sumatoria es 2), dividimos por t2 y queda:
( 1 - e-t^2 )/t2 = ( ∑(k=1,∞) (-1)k+1*t2k/k! )/t2= ∑(k=1,∞) (-1)k+1*t2k-2/k!
Luego, queda que integres el término general de la sumatoria.
Espero haberte ayudado.

Tienes la integral (para evaluar entre 0 y x):
I = ∫ ( 1 - e-t^2 )/t2 dt = sustituimos por el desarrollo en serie de Mc Laurin =
= ∫ ∑(k=1,∞) (-1)k+1*t2k-2/k! dt = aplicamos la propiedad de la integral de una suma, que es igual a la suma de las integrales:
= ∑(k=1,∞) (-1)k+1* ( ∫ t2k-2 dt ) / k! = integramos (encerramos entre corchetes a la expresión de la primitiva):
= ∑(k=1,∞) (-1)k+1* [ t2k-1 / (2k-1) ] / k! = evaluamos con la Regla de Barrow (observa que los términos de la sumatoria tienen grados mayores o iguales que 1).
= ∑(k=1,∞) (-1)k+1* ( x2k-1 / (2k-1) - 0 / (2k-1) ) / k! = cancelamos el término nulo en el agrupamiento, resolvemos expresiones fraccionarias y queda:
= ∑(k=1,∞) (-1)k+1*x2k-1 / (2k-1)*k!.
Espero haberte ayudado.
F(x): ln(x+2) y g(x): x/x-3
Componer f^-1og e indicar su dominio
me ayudan a componer? o si tienen alguna pagina que explique bien detallado lo de composicion de funciones me vendria bien porque ya me vi los videos de unicoos pero necesitaria mas, me cuesta mucho a pesar de qe para algunos es demasiado sencillo

Observa que la función F tiene dominio D = (-2,+∞) e imagen: I = R.
Luego, permutamos variables y queda:
x = ln(y + 2), componemos con la función inversa del logaritmo natural en ambos miembros y queda:
ex = y +2, hacemos pasaje de término y queda:
ex - 2 = y,
luego, tenemos que la expresión de la función inversa de F es:
F-1(x) = ex - 2, cuyo dominio es: D ' = R, y cuya imagen es: I ' = (-2,+∞).
Luego, observa que la función g, cuya expresión es: g(x)= x/(x - 3) tiene dominio D1 = R - {3}, y tiene imagen: I1 = R - {1}.
Luego pasamos a la composición (recuerda que el dominio de la función compuesta debe estar incluido en el dominio de la primera función):
(F-1 o g)(x) = F-1( g(x) ) = F-1( x/(x - 3) ) = ex/(x - 3) - 2,
cuyo dominio es: D1 = R - {3} (observa que en este caso el dominio de la función compuesta es igual al dominio de la primera función en la composición.
Espero haberte ayudado.