Buenas tengo este ejercicio del cual ya avanze un poco pero me planto en cierta parte porque nose como avanzar
ya encontre los puntos A(3,-2,0) B(0,0,6) lo que nose es como hallar el punto C y como aria para hallar la fuerza se que tengo que encontrar el vector unitario pero hasta ahi nomas llegue de antemano gracias a la persona que me ayude

Empleamos las unidades de medida del problema, por lo que la fuerza se expresa en libras y las posiciones en pies.
Observa que los extremos de la barra coinciden con los puntos de coordenadas: A(3,-2,0) y B(0,0,6), y las coordenadas de su punto medio son: C(3/2,-1,3).
Luego, observa que el módulo de la fuerza aplicada en el punto C es: |F| = 80, y que su dirección coincide con la dirección de un vector aplicado en el punto C y extremo en el origen, cuyas componentes son: w = CO = < 0-3/2 , 0-(-1) , 0-3 > = < - 3/2 , 1 , -3 >.
Luego, como el vector F y el vector w son colineales y de igual sentido, planteamos que el vector F es un múltiplo escalar del vector w:
F = k*w, con k ∈ R, k > 0,
expresamos al vector w con sus componentes:
F = k*< -3/2 , 1 , -3 >,
efectuamos el producto:
F = < -3k/2 , k , -3k > (1),
planteamos el módulo del vector F:
|F| = √( (-3k/2)2 + (k)2 + (-3k)2 ) = √( 9k2/4 + k2 + 9k2 ) = √(49k2/4) = 7k/2.
Luego, tenemos a partir del enunciado:
|F| = 40, sustituimos y queda:
7k/2 = 40, de donde podemos despejar: k = 80/7,
luego, reemplazamos en la expresión señalada (1) y tenemos:
F = < -120/7 , -80/7 , -240/7 >.
Espero haberte ayudado.
Analiza la siguiente falacia:
En un libro de matemáticas se lee: "La llamada conjetura de Goldbach, que dice que todo número par es la suma de dos números primos, no ha sido aún demostrada. Esa conjetura no es, por tanto, una conjetura científica (o sea, no vale)."
Hola, necesito ayuda con este problema:
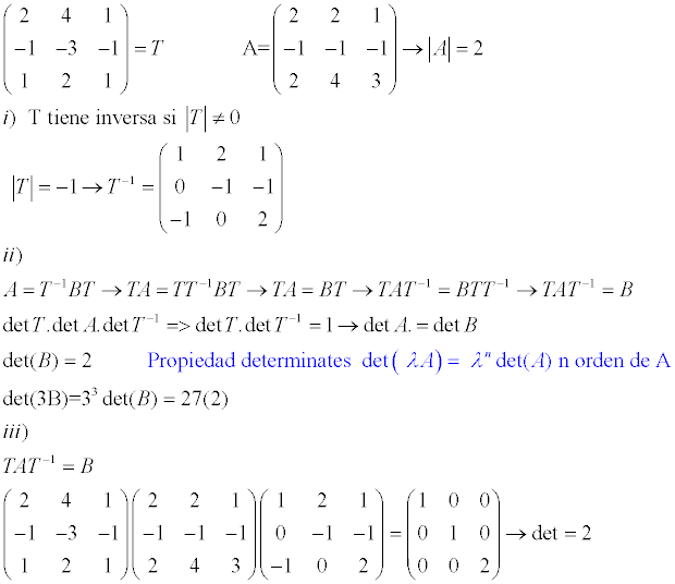
Dadas las matrices A= 2 2 1 y T= 2 4 1 , se pide:
-1 -1 -1 -1 -3 -1
2 4 3 1 2 1
i. Prueba que la matriz T tiene inversa T-1, y calcula dicha matriz inversa.
ii. Dada la ecuación con matriz incógnita B, A=T-1BT, calcula el determinante de B y el det(3B), sin calcular B. (En especial en este apartado)
iii. Calcula la matriz B considerada en el apartado anterior.
¡Muchas gracias!

i) Planteamos la doble matriz TI, y empleamos el método de Gauss para investigar la existencia de la matriz inversa de T.
2 4 1 1 0 0
-1 -3 -1 0 1 0
1 2 1 0 0 1
Permutamos la fila 3 con la fila 1:
1 2 1 0 0 1
-1 -3 -1 0 1 0
2 4 1 1 0 0
A la fila 2 le sumamos la fila 1 y a la fila 3 le restamos el doble de la fila 1:
1 2 1 0 0 1
0 -1 0 0 1 1
0 0 -1 1 0 -2
A la fila 2 la multiplicamos por -1 y a la fila 3 la multiplicamos por -1:
1 2 1 0 0 1
0 1 0 0 -1 -1
0 0 1 -1 0 2
A la fila 1 le restamos el doble de la fila 2 y le restamos la fila 3:
1 0 0 1 2 1
0 1 0 0 -1 -1
0 0 1 -1 0 2
Luego, concluimos que la matriz T admite matriz inversa, cuyos elementos son:
T-1 =
1 2 1
0 -1 -1
-1 0 2

ii) Dejamos para que calcules los determinantes de las matrices A y T, por medio de alguno de los métodos que seguramente has visto en clase.
Luego, recuerda algunas propiedades de los determinantes:
1) |P*Q| = |P|*|Q| (el determinante de un producto de matrices es igual al producto de los determinantes de las matrices);
2) |P-1| = 1/|P| (el determinante de la matriz inversa es igual al inverso multiplicativo del determinante de la matriz),
3) |k*P| = kn*|P|, k ∈ R (el determinante de una matriz multiplicada por un número es igual al número elevado al orden de la matriz multiplicado por su determinante).
a) Tienes la igualdad entre matrices:
A = T-1 * B * T, por igualdad entre matrices, planteamos la igualdad entre sus determinantes:
| A | = | T-1 * B * T |, aplicamos la propiedad señalada 1):
| A | = | T-1 | * | B | * | T |, aplicamos la propiedad señalada 2):
| A | = ( 1/| T | ) * | B | * | T |, simplificamos:
| A | = |B|;
por lo que concluimos que el determinante de la matriz B es igual al determinante de la matriz A.
b) Observa que la matriz B es de orden 3, por lo que tenemos: n = 3, luego planteamos:
| 3*B | = aplicamos la propiedad señalada 3) = 33 * | B | = 27 * | B | = 27 * | A |;
por lo que concluimos que el determinante del triple de la matriz B es igual al determinante de la matriz A multiplicado por 27.
iii) Tienes todo lo necesario para realizar el producto y calcular la matriz B. Haz el intento, y si te es preciso, no dudes en volver a consultar.
Espero haberte ayudado.