
1) Planteamos:
u = a*v1 + b*v2, con a y b números reales que debemos determinar,
sustituimos y queda:
<n,2n,1> = a*<-1,0,2> + b*<-1,1,2>, resolvemos los productos entre vectores y escalares y queda:
<n,2n,1> = <-a,0,2a> + <-b,b,2b>, resolvemos la suma entre vectores y queda:
<n,2n,1> = <a-b,b,2a+2b>, luego, por igualdad entre vectores, tenemos el sistema de ecuaciones:
n = a - b
2n = b
1 = 2a + 2b
sustituimos la expresión remarcada en las otras dos ecuaciones y queda:
n = a - 2n, en la que hacemos pasaje de térnino y queda: 3n = a
1 = 2a + 2(2n)
sustituimos en la última ecuación y queda:
1 = 2(3n) + 4n, en la que resolvemos el segundo miembro y queda: 1 = 10n, y luego despejamos y queda:
1/10 = n,
reemplazamos y resolvemos en las expresiones remarcadas y quedan: 3/10 = a, 1/5 = b.
2) Planteamos la condición de independencia lineal (combinación lineal nula) entre los tres vectores (indicamos con N al vector nulo):
a*u + b*v1 + c*V2 = N, con a = b = c = 0,
sustituimos y queda:
a*<n,2n,1> + b*<-1,0,2> + c*<-1,1,2> = <0,0,0>
resolvemos productos de escalares por vectores y queda:
<an,2an,a> + <-b,0,2b> + <-c,c,2c> = <0,0,0>
resolvemos el primer miembro y queda:
<a*n-b-c,2a*n+c,a+2b+2c> = <0,0,0>
luego, por igualdad de vectores, igualamos componente a componente y queda el sistema de ecuaciones:
a*n - b - c = 0
2a*n + c = 0, de aquí despejamos: c = -2a*n
a + 2b + 2c = 0
sustituimos en las otras dos ecuaciones y queda:
a*n - b + 2a*n = 0
a + 2b - 4a*n = 0
reducimos términos semejantes en la primera ecuación y el sistema queda:
3a*n - b = 0, de aquí despejamos: 3a*n = b
a + 2b - 4a*n = 0
sustituimos en la última ecuación y queda:
a + 6a*n - 4a*n = 0
reducimos términos semejantes y queda:
a + 2a*n = 0
extraemos factor común y queda:
a*(1 + 2n) = 0
luego, por anulación de un producto tenemos dos opciones:
1) a = 0, que al reemplazar en las ecuaciones remarcadas conduce a: b = 0, c = 0, con n ∈ R.
2) 1 + 2n = 0, de donde despejamos: n = -1/2, que al reemplazar en las ecuaciones remarcadas conduce a: b = -3a/2, c = a, con a ∈ R.
Observa que en el planteo nos quedó un sistema de tres ecuaciones con cuatro incógnitas, por lo que en ambas opciones pudimos despejar tres incógnitas, y una nos quedó "libre".
Luego, observa que a partir de la opción (2) tenemos que para n = -1/2 los tres vectores son linealmente dependientes, por lo que el conjunto que los tiene como elementos no puede ser una base de R3.
Luego, a partir de la condición (1) tenemos que para n ≠ -1/2, tenemos que los tres vectores son linealmente independientes, por lo que el conjunto que los tiene como sus elementos si es una base de R3.
Espero haberte ayudado.

Tienes la función η cuyas variables son D y h, observa que la expresión de la función puede escribirse:
η(D,h) = √(D2 + 16h2)/D = (D2 + 16h2)1/2 * D-1 = U * V,
en la que tenemos dos factores (observa que debemos derivar con la regla del producto).
Vamos con cada factor y sus derivadas parciales por separado:
U = (D2 + 16h2)1/2
cuyas derivadas parciales quedan expresadas:
UD = (1/2)*(D2 + 16h2)-1/2 * 2D = D*(D2 + 16h2)-1/2
Uh = (1/2)*(D2 + 16h2)-1/2 * 32h = 16h*(D2 + 16h2)-1/2
V = D-1
cuyas derivadas parciales quedan expresadas:
VD = -1*D-2 = -D-2
Vh = 0.
Luego, queda para que plantees las dos derivadas parciales de la función η con la regla del producto para que concluyas la tarea.
Espero haberte ayudado.
Hola.
Alguien podría falicitarme algún ejemplo de problema que se resuelva mediante el planteamiento de una Distribución Uniforme Continua.
Gracias.

Me encantaría ayudarte, pero no respondo dudas universitarias que no tengan que ver específicamente con los videos que ya he grabado como excepcion. O de otras asignaturas que no sean matemáticas, física y química. Lo siento de corazón… Espero lo entiendas
Ojalá algun unicoo universitario se anime a ayudarte (de hecho lo ideal es que todos los universitarios intentarais ayudaros los unos a los otros)
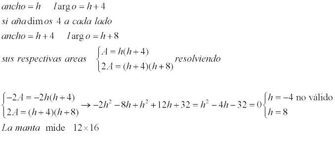
El largo de una manta de forma rectangular excede 4 cm al ancho. Si a cada lado se le agregan 4 cm,su area se duplicaria. Calcula las medidas de la manta con la añadidura

Llamemos:
a: al ancho inicial,
l: al largo inicial,
observa que tienes la relación: l = a + 4 (1),
y la expresión del área inicial queda: Ai = a*l, sustituimos según la ecuación señalada (1) y queda: Ai = a*(a + 4)..
Luego, tenemos:
ancho final: af = (a + 4),
largo final: lf = (l + 4) = sustituimos según la ecuación señalada (1) = (a + 4 + 4) = (a + 8) (2),
y la expresión del área final queda: Af = af*lf, sustituimos según la ecuación señalada (2) y queda: Af = (a + 4)*(a + 8).
Observa que tienes la relación:
Af = 2*Ai, sustituimos a partir de las ecuaciones remarcadas y queda:
(a + 4)*(a + 8) = 2*a*(a + 4), distribuimos en ambos miembros y queda:
a2 + 8a + 4a + 32 = 2*a2 + 8a, hacemos pasajes de términos, reducimos términos semejantes (observa que tenemos cancelación de dos términos opuestos) y queda:
- a2 + 4a + 32 = 0, multiplicamos por -1 en todos los términos de la ecuación y queda:
a2 - 4a - 32 = 0, que es una ecuación polinómica cuadrática en la que aplicas la fórmula resolvente y tienes sus dos soluciones:
1) a = - 4, que no tiene sentido para este problema (recuerda que a es el ancho de la manta, por lo que debe ser estrictamente positivo);
2) a = 8, que si es una solución válida para este problema.
Luego, a partir de las ecuaciones señaladas y remarcadas tenemos:
a = 8 cm, l = 12 cm, Ai = 96 cm2,
af = 12 cm, lf = 16 cm, Af = 192 cm2.
Espero haberte ayudado.
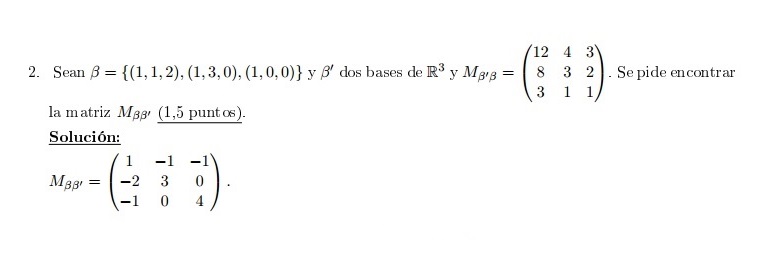
por favor que alguien me ayude de como resolver este ejercicio, tengo entendido que debo calcular la matriz inversa y luego multiplicarla por B, pero no me da ningún
resultado parecido

Llamemos: Uβ al vector expresado en la base β, y llamemos Uβ' al vector expresado en la base β'.
Luego, como tenemos una de las matrices de pasaje, planteamos la ecuación matricial:
Uβ' = Mβ'β * Uβ multiplicamos a izquierda por la matriz inversa de la matriz de pasaje y queda:
(Mβ'β)-1 * Uβ' = (Mβ'β)-1 * Mβ'β * Uβ resolvemos el producto entre matrices inversas del segundo miembro y queda:
(Mβ'β)-1 * Uβ' = I3 * Uβ resolvemos el producto por la matriz identidad de orden 3 en el segundo miembro y queda:
(Mβ'β)-1 * Uβ' = Uβ
luego, tenemos que la matriz de pasaje buscada queda:
Mββ' = (Mβ'β)-1
que es la matriz inversa de la matriz del enunciado, que pasamos a calcular con el Método de Gauss. Planteamos la doble matriz:
12 4 3 1 0 0
8 3 2 0 1 0
3 1 1 0 0 1
A la fila 1 le restamos la suma entre la fila 2 y la fila 3 y queda:
1 0 0 1 -1 -1
8 3 2 0 1 0
3 1 1 0 0 1
A la fila 2 le restamos la fila 1 multiplicada por 8, a la fila 3 le restamos el triple de la fila 1, y queda:
1 0 0 1 -1 -1
0 3 2 -8 9 8
0 1 1 -3 3 4
A la fila 2 le restamos el doble de la fila 3 y queda:
1 0 0 1 -1 -1
0 1 0 -2 3 0
0 1 1 -3 3 4
A la fila 3 le restamos la fila 2 y queda:
1 0 0 1 -1 -1
0 1 0 -2 3 0
0 0 1 -1 0 4
Espero haberte ayudado.