Buenos dias, podriais ayudarme?
Actividad 3 Halla la intersección entre la circunferencia x2+y2 =25 y la recta x-y+1=0
Actividad 4 Halla la ecuación de la circunferencia cuyo centro es el punto (2,1) y que pasa por el punto (6, -2)
Hola buen dia unicoos , alguien me podrí ayudar en el siguiente ejercicio por favor, aunque se algo del tema no se como resolverlo. Por favor ayuda, y muchas gracias de antemano.

Llamemos u a la variable independiente para la función f, luego para su rango tienes: -4 < f(u) < 2.
Observa que el rango de la función no cambia si variamos su argumento (por ejemplo: el rango se senx es [-1,1], y el rango de sen(3x-1) es [-1,1]).
Recuerda que modificaciones en el argumento implican contracciones o dilataciones en el sentido del eje OX o traslaciones en el sentido del eje OX, sin afectar la gráfica de la función en el sentido del eje OY (observa que en el caso del ejercicio, el cambio de x por 3x-1 en el argumento implica una contracción a la tercera parte, y un desplazamiento de una unidad en el sentido positivo del eje OX, y observa que al multiplicar por 3 a la expresión f(3x-1), ahí si implica una dilatación al triple en la dirección del eje OY, y observa que al restar 2 implica un desplazamiento de dos unidades en el sentido negativo del eje OY).
Luego tenemos:
-4 < f(3x-1) < 2, multiplicamos por 3 en los tres miembros de la doble inecuación (observa que no cambian las desigualdades) y queda:
-12 < 3*f(3x-1) < 6, restamos 2 en los tres miembros de la doble inecuación y queda:
-14 < 3*f(3x-1) - 2 < 4, luego sustituimos la expresión en el segundo miembro de la doble inecuación y queda:
-14 < g(x) < 4,
por lo que concluimos que la opción (d) es la respuesta correcta.
Espero haberte ayudado.
Hola, me podrían ayudar a resolver este ejercicio de ecuación diferencial de primer orden lineal, al final de la imagen están las opciones de respuestas, de antemano gracias.
De una hiperbola, me dan como datos esto:
Que su centro esta en el origen
Tiene un vertice imaginario en (6,0)
Una de sus asintotas es 4x-3y=0
Tengo que obtener el resto de elementos y graficar. Lo que no entiendo es, como saber si es de tipo vertical u horizontal.
El centro es (0,0), la ecuacion de asintotas es Y=b/a y=-b/a o y=a/b y=-a/b, a apartir de esto podria sacar los valores de a y b si igualo con la asintota que me dan de dato. Pero nose cual ecuacion usar, porque nose si es horizontal o vertical...como puedo saber de que tipo es a partir de esos datos?

Observa que si el centro es el punto de coordenadas C(0,0), y uno de los vértices imaginarios es el punto de coordenadas (6,0), entonces tienes que la longitud del semieje imaginario es b = 6, y que el otro vértice imaginario es el punto de coordenadass (-6,0). Luego, los vértices reales están sobre el eje OY, y la ecuación de la hipérbola tiene la forma:
- x2/b2 + y2/a2 = 1, y sus asíntotas tiene ecuaciones: y = ax/b, y = - ax/b.
Luego, reemplazamos b = 6 y tenemos hasta ahora:
Ecuación de la hipérbola: - x2/36 + y2/a2 = 1,
ecuaciones de las asíntotas: y = ax/6, y = - ax/6.
Luego, tienes la ecuación de una de las asíntotas:
4x - 3y = 0, hacemos pasajes de términos y queda:
- 3y = - 4x, dividimos por -3 en ambos miembros de la ecuación y queda:
y = 4x/3, y observa que la otra asíntota tiene ecuación y = - 4x/3.
luego comparamos las ecuaciones remarcadas y tenemos:
a/b = 4/3, reemplazamos b = 6 y queda:
a/6 = 4/3, hacemos pasaje de divisor como factor y queda:
a = 8.
Luego, reemplazamos en la ecuación de la hipérbola y queda:
- x2/36 + y2/64 = 1.
Luego, la longitud del semieje focal queda:
c = √(a2 + b2) = √(82 + 62) = √(64 + 36) = √(100) = 10.
Por último, observa que los vértices reales tienen coordenadas (0,-8), (0,8),
y observa que los vértices tienen coordenadas (0,-10), (0,10).
Espero haberte ayudado.
Buenas tardes.Cual seria el centro de esta elipse? 4x^2 + y^2 -8x=0
Lo lleve a la forma canonica y me sale que es (4,0) pero tengo dudas si esta bien

Ordenamos términos y la ecuación queda:
4x2 - 8x + y2 = 0, extraemos factor común 4 en los términos con x y queda:
4( x2 - 2x ) + y2 = 0, sumamos y restamos para obtener un trinomio cuadrado perfecto para x y queda:
4( (x2 - 2x + 1) - 1 ) + y2 = 0, factorizamos el trinomio, distribuimos el primer término y queda:
4(x - 1)2 - 4 + y2 = 0, hacemos pasaje de término y queda:
4(x - 1)2 + y2 = 4, dividimos por 4 en todos los términos de la ecuación y queda:
(x - 1)2 + y2/4 = 1,
que es la ecuación canónica de una elipse cuyos elementos son:
centro de simetría: C(1,0),
eje focal con ecuación x = 1 (recta paralela al eje OY),
semieje mayor: a = √(4) = 2,
semieje menor: b = √(1) = 1,
semieje focal: c = √(4 - 1) = √(3),
y a partir de un gráfico puedes visualizar las coordenadas de los vértices y los focos de la elipse.
Espero haberte ayudado.
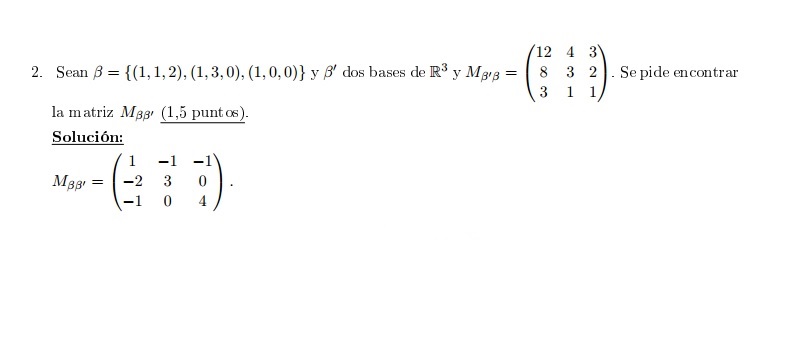
alguien me ayuda con este problema ???????????? lo intentado resolver pero me da un resultado totalmente diferente.![]()

Te sugiero todos los vídeos de esta leccion ALGEBRA Matriz de Cambio de Base 01
A partir de ahí, me encantaría ayudarte, pero no respondo dudas universitarias que no tengan que ver específicamente con los videos que ya he grabado como excepcion. O de otras asignaturas que no sean matemáticas, física y química. Lo siento de corazón… Espero lo entiendas
Ojalá algun unicoo universitario se anime a ayudarte (de hecho lo ideal es que todos los universitarios intentarais ayudaros los unos a los otros)

Si la expresión de la función es:
f(x) = lnx / x2, observa que su dominio es el intervalo: D = (0,+∞).
Luego, la función está definida solamente para valores estrictamente positivos de la abscisa x, por lo tanto no es simétrica con respecto al eje OY.
En cambio, si la expresión de la función es:
f(x) = ln|x| / x2, observa que su dominio es el conjunto D = R - {0}.
Luego, como la función está definida para valores positivos y negativos de la abscisa x, planteamos:
f(-x) = ln|-x| / (-x)2 = ln|x| / x2 = f(x), por lo que tenemos que la función es simétrica con respecto al eje de ordenadas OY (también decimos que la función es par).
Espero haberte ayudado.