Hola, quería preguntar si en el método de Gauss se puede cambiar el orden de las incógnitas y si es así en que ecuaciones. Gracias.

Hola Esteban.
La imagen que muestras se ve incompleta y no puedo detallarte exactamente tus errores, pero sí se ve que no aplicas del todo bien las propiedades y no terminas de hacerlo. Ten cuidado con el "10" de la base porque de repente parece que está multiplicando.
Maths, respecto a la solución que envías, no es del todo correcta. Has cometido un error con la potencia de exponente 3 ya que no afecta a todo el logaritmo, si no al valor de dentro del logaritmo, por lo tanto se convertiría en multiplicación "·3" a cada uno de los tres logaritmos que sí has expresado bien.
Un saludo.
SB!!
Hola muy buenas, me preguntaba si la igualdad que paso adjunta en la foto es correcta, hago el uso de infinitessimos equivalentes.
Muchas gracias, aunque ahora dudo porque entonces este mismo problema pero f(x) = ln(1+t), sin(t)... daria el mismo resultado.
Y lo que si sabemos es que la integral por partes de sin(t), ln(1+t), arctan(t) son distintas.... Muchas gracias de todas formas, esperaré a la corrección en todo caso.
Hola chicos/as!!
Necesito ayuda con un ejercicio de geometría
Dos vértices consecutivos de un rectángulo son P(1, 1,-3) y Q(-1,0,0) y los otros dos pertenecen a una recta que pasa por el punto A(4,3,-5). Se pide:
a) Ecuación de la recta y ecuación del plano que contiene al rectángulo.
b) Las coordenadas de los otros dos vértices del rectángulo.
c) Área del rectángulo.
Muchas gracias 😊
En el tema que se explica la representación en la recta real aparece un triángulo rectángulo con valor 1 para cada uno de los catetos y valor 2 para la hipotenusa. Creo que el valor que procede para la hipotenusa debe ser el de raiz cuadrada de 2.
Así se cumpliría el teorema de Pitágoras que dice que la suma de las áreas de los cuadrados construidos tomando como lado cada uno de los catetos es igual al lavor del área que se puede construir tomando como lado el valor de la hipotenusa.
uno al cuadrado más uno al cuadrado es iguar a la raíz de dos al cuadrado.
Un saludo.
Manuel
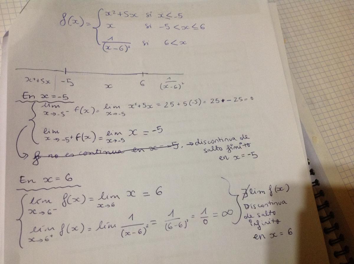
Holaaa.. Tengo q estudiar la siguiente continuidad. Y luego las asintotas. Adjunto el ejercicio de la continuidad que creo que esta bien, pero por favor ayudarme con las asintotas

Observa que el dominio de la función es: D = (-∞,+∞) = R, y por lo tanto planteamos:
1°) Asíntotas horizontales: se investigan con los límites tendiendo a -infinito y a +infinito.
Lím(x→-∞) f(x) = Lím(x→-∞) (x2 + 5x) = Lím(x→-∞) x2(1 + 5/x) = +∞, por lo que la gráfica de la función no presenta asíntota horizontal izquierda.
Lím(x→+∞) f(x) = Lím(x→+∞) 1/(x-6)2 = 0, por lo que la gráfica de la función presenta asíntota horizontal derecha, cuya ecuación es y = 0.
2°) Asíntotas verticales: se investigan con las discontinuidades del dominio, sus extremos finitos y puntos de pegado entre trozos. Observa que en este caso no tenemos discontinuidades, pero si tenemos puntos de pegado: x1 = -5 y x2 = 6, que estudiaremos por separado.
a) Para x1 = -5:
Lím(x→-5-) f(x) = Lím(x→-5-) (x2 + 5x) = 0, por lo que la gráfica de la función no presenta asíntota vertical por la izquierda en x1 = -5.
Lím(x→5+) f(x) = Lím(x→-5+) (x) = 5, por lo que la gráfica de la función no presenta asíntota vertical por la derecha en x1 = -5.
b) Para x2 = 6:
Lím(x→6-) f(x) = Lím(x→6-) (x) = 6, por lo que la gráfica de la función no presenta asíntota vertical izquierda en x2 = 6.
Lím(x→6+) f(x) = Lím(x→6+) ( 1/(x-6)2 ) = +∞, por lo que la gráfica de la función presenta asíntota vertical superior por derecha en x2 = 6.
Espero haberte ayudado.

Tienes las funciones:
f(x) = (1 + x)(1 - x), cuyo dominio es: Df = R;
g(x) = lnx, cuyo dominio es: Dg = (0,+∞),
h(x) = 1/x cuyo dominio es: Dh = R - {0}.
1°) Primero planteamos la composición de la función f con la función g:
g( f(x) ) = g( (1+x)(1-x) ) = ln( (1+x)(1-x) ),
observa que debe cumplirse que:
(1+x)(1-x) > 0, que corresponde al subconjunto del dominio de la función f: D1 = (-1,1), que es el dominio de la función f compuesta por g.
2°) Planteamos la composición de la función anterior con la función h:
h( g( f(x) ) ) = h( ln( (1+x)(1-x) ) ) = 1 / ln( (1+x)(1-x) ),
observa que debe cumplirse que:
ln( (1+x)(1-x) ) ≠ 0, distribuimos y simplificamos en el argumento del logaritmo y queda:
ln(1 - x2) ≠ 0, componemos en ambos miembros con la función inversa del logaritmo natural y queda:
1 - x2 ≠ 1, hacemos pasajes de término y queda:
0 ≠ x2, de donde tenemos: x ≠ 0, que corresponde al subconjunto del dominio de la función compuesta de f con g: D2 = (-1,0) u (0,1).
Espero haberte ayudado.
Hola
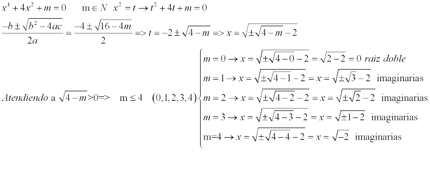
Como se resolvería este ejercicio:
Sabiendo que el parámetro m es un número natural, averigua los valores que debe tomar para que la ecuación x^4+4x^2+m=0 tenga sólo dos soluciones reales.
He intentado resolverlo como una ecuación cuadrática normal y a partir de hay despejar pero se me queda (-4±√(16-4m))/2 y no se como continuar.