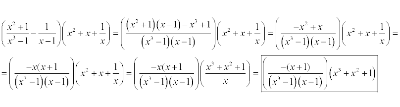
Hola, tengo una duda sobre el siguiente ejercicio y no se como resolverlo:
f (xy){ X^2 * Y^2/XY si x e y diferente de 0
0 si (x,y)=(00)
sustituyo:
x=r cos (0)
y=r sen (0)
r^2cos^2(0) +r^2sen^2(0) r^2 0
lim f(x,y)=lim __________________________ = _______________________=___________________= infinito
(x,y)--(00) r--0 r cos(0)* rsen (0) r^2(cos (0) sen(0) cos (0)sen(0)
Mi duda es la siguiente, dejo el resultado como infinito y entonces la ecuacion no es continua, o tengo que hacer Lhopital, Y si tengo que hacer lhopital como lo hago? gracias

Me encantaría ayudarte, pero no respondo dudas universitarias que no tengan que ver específicamente con los videos que ya he grabado como excepcion. O de otras asignaturas que no sean matemáticas, física y química. Lo siento de corazón… Espero lo entiendas
Ojalá algun unicoo universitario se anime a ayudarte (de hecho lo ideal es que todos los universitarios intentarais ayudaros los unos a los otros)
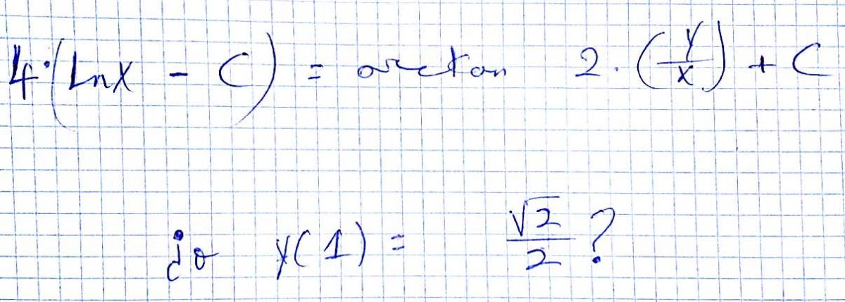
--------------------------------------------- COMBINATORIA ---------------------------------------------
14.- ¿Cuántas soluciones en N tiene la ecuación x1 +x2 +x3 +x4 +x5 = 25? -->23751
¿Cuántas si x1 >= 6?------------------------------------------------------------------------------>8855

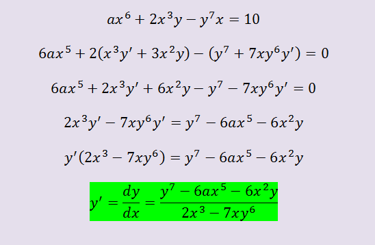
Vamos con una orientación.
Observa que primero debes demostrar que los vectores del conjunto S son linealmente independientes (es una condición necesaria para que el conjunto S sea una base).
Luego, observa que si puedes expresar a cada uno de los vectores del conjunto W como combinación lineal de los vectores del conjunto S, entonces tienes que S es una base del subespacio vectorial generado por el conjunto W.
Espero haberte ayudado.