
1)
Observa que la función cuya expresión es:
f(x) = 1/x (*),
presenta una discontinuidad esencial, tipo asíntota vertical, en x = 0.
Luego, puedes multiplicar al numerador y al denominador de la expresión señalada (*), por ejemplo por (x -1) y (x +1), y queda la expresión de una nueva función:
g(x) = (x -1)*(x + 1)/( x*(x - 1)*(x + 1),
y puedes verificar que esta nueva función presenta una discontinuidad esencial tipo asíntota vertical en x = 0, y que además presenta dos discontinuidades evitables en: x = 1 y x = -1.
2)
Aquí puedes plantear la expresión de una función partida:
f(x) =
x*(x - 1)/(x - 1) si x < 1 o 1 < x < 2
4x si x ≥ 2,
y puedes verificar que esta función presenta una discontinuidad esencial tipo asíntota vertical en x = 1, y que además presenta una discontinuidad esencial tipo salto finito en x = 2.
Espero haberte ayudado.
Hola!!
Una deuda de $164000 se abona del siguiente modo: $53000 a los 4 meses, y
el resto en dos cuotas de igual valor nominal, una a los 9 meses y la otra a
los 16 meses. Calcular el valor nominal de dichas cuotas si se aplica una tasa
de interés anual simple del 18%
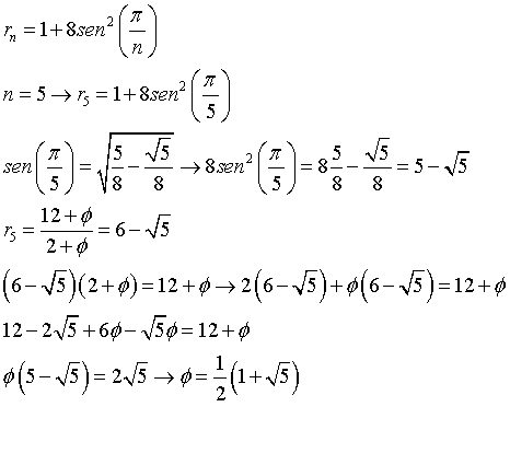
La primera parte es trivial, pero no sé cómo demostrar cómo llegar a la expresión del quinto término de las sucesión en función del número áureo.
Por otra parte, en este ejercicio piden hallar las raíces de este polinomio. No tiene reales, y al intentar buscar las imaginarias no sé muy bien cómo seguir, nada más que llegar a la conclusión de que x5 + 1 = (x4 + x3 + x2 + x + 1) * (x-1).

Muchas gracias por la respuesta César!
He entendido todo lo de mi primera duda, pero lo que no sé es cómo sacar el valor exacto del seno de π/5, he intentado sacarlo a partir de un pentágono regular (con ángulo interno de 36º) pero no llego al resultado que has puesto, que evidentemente es el correcto.
Respecto a mi segunda pregunta, el polinomio del ejercicio es de cuarto grado, y hasta donde yo sé la fórmula de Cardano sólo se aplica para ecuaciones cúbicas, así que sigo sin poder resolverlo (aunque sé que las raíces tienen que ser complejas).
Muchas gracias de nuevo!
Este ejercicio:
Hallar todos los x∈Z tal que x ≡ 51139(mód 176).
Según la solución, sale haciendo un sistema de congruencias y aplicando teorema chino del resto:

https://i.imgur.com/kkn5fdK.png
Pero yo lo empecé aplicando Teorema de Euler (ignorar que me equivoqué en el valor de fi)

Al parecer no era el camino ya que me quedó 517 ≡ x mod 176. ¿Cómo me puedo dar cuenta de que camino tomar? de si es por el de la solución o como lo hice yo? me faltó complir alguna condición para aplicar el teorema de Euler?
Aplicando Fermat Euler https://www.youtube.com/watch?v=aFSLQDmOKl0
congruencias lineales https://www.youtube.com/watch?v=P7hMosU5WtQ
En general estos videos son muy interesantes https://www.youtube.com/results?search_query=Congruencias+lineales+Agustin+Valverde