Hola, tengo una duda sobre esta ecuación del plano, si me dicen que halle el plano contenido en el eje Z un Punto cualquiera podría ser p(00,z) siempre con x=0 y y=0 y el vector normal a ese plano sería de la forma n(0,0,z) o n(x,y,0) ?? No logro entender bien eso
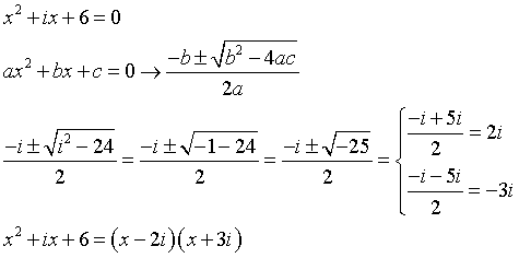
Hola buenas, que metodo se utiliza para factorizar este polinomio: X^2 + iX +6

Vamos con el Método de Completar un Trinomio Cuadrado Perfecto.
Tienes el polinomio con coeficientes complejos:
P(x) = x2 + i*x + 6,
planteas la condición que cumplen sus raíces, y queda la ecuación:
P(x) = 0,
sustituyes la expresión del polinomio, y queda:
x2 + i*x + 6 = 0, restas 6 en ambos miembros, y queda:
x2 + i*x = -6, sumas (-1/4) en ambos miembros (observa: (i/2)2 = -1/4), y queda:
x2 + i*x + (i/2)2 = -6 + (-1/4),
factorizas el trinomio cuadrado perfecto en el primer miembro, resuelves el segundo miembro, y queda:
(x + i/2)2 = -25/4, extraes raíz cuadrada en ambos miembros, y tienes dos opciones:
1°)
x + i/2 = -5*i/2, restas i/2 en amos miembros, y queda:
x1 = -3*i;
2°)
x + i/2 = +5*i/2, restas i/2 en amos miembros, y queda:
x2 = 2*i.
Luego, observa que el coeficiente principal del polinomio es 1, por lo que su expresión factorizada queda:
P(x) = (x + 3*I)*(x - 2*i).
Espero haberte ayudado.
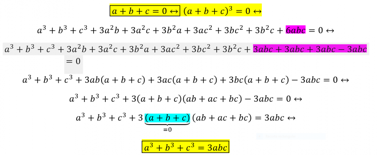
hola buenas noches unicoos, una ayuda con el literal b y d por fa, he tratado de completar los (cubos, cuadrados) o multiplicar por un numero toda la expresion pero no llego al resultado que muestran.
Hola, qué tal?
Sobre esta solución,
- En la parte c, ¿Cómo llega a que 22^232 ≡ 0 (mod 4) ? (subrayado en rojo)
- En la parte b, hay una propiedad que, elevando ambos lados a algo la congruencia se mantiene? (y además el módulo no cambia en caso de haber?) (subrayado en azul)

Gracias por la respuesta!
Lo que recuadré en rojo y azul no lo
entendí bien. En el caso de lo que está en rojo, reemplazaste 22 por 4
debido a la igualdad de 22 con 4 mod 9?
https://i.imgur.com/zfJYetYl.png

https://imgur.com/zfJYetY
https://imgur.com/zfJYetY

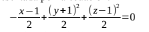
Tienes la ecuación:
-(x - 1)/2 + (y + 1)2/2 + (z - 1)2/2 = 0, multiplicas por 2 en todos los términos de esta ecuación, y queda:
-(x - 1) + (y + 1)2 + (z - 1)2 = 0, sumas (x - 1) en ambos miembros, y queda:
(y + 1)2 + (z - 1)2 = (x - 1) (*),
que es la ecuación de un paraboloide de revolución, con vértice: V(1,-1,1), y con eje de simetría paralelo al eje OX
Luego, observa que este paraboloide tiene eje de simetría, pero no tiene centro de simetría, por lo que la transformación que conduce a la ecuación más sencilla es el cambio a coordenadas cilíndricas, con eje en el eje del paraboloide, por lo que puedes proponer la transformación:
x - 1 = X, de aquí despejas: x = X + 1 (1),
y + 1 = r*cosθ, de aquí despejas: y = r*cosθ - 1 (2),
z - 1 = r*senθ, y de aquí despejas: z = r*senθ + 1 (3),
con el factor de compensación (Jacobiano): |J| = r;
luego, sustituyes las expresiones señaladas (1) (2) (3) en la ecuación del paraboloide señalada (*), resuelves términos, extraes factor común en el primer miembro, aplicas la identidad trigonométrica fundamental, y queda:
r2 = X,
que es la ecuación del paraboloide expresada con las coordenadas cilíndricas que hemos propuesto.
Espero haberte ayudado.

1)
La integral expresa el aumento de peso del niño desde que tenía tres años hasta que tenía diez:
3∫10 u'(t)*dt =
aplicas el Teorema Fundamental del Cálculo Integral, y queda (indicamos con corchetes que debes evaluar con Regla de Barrow), y queda:
= [ u(t) ] =
evalúas, y queda:
= u(10) - u(3),
donde u(10) indica el aumento de peso desde el nacimiento hasta la edad de diez años, y u(3) indica el aumento de peso desde el nacimiento hasta los tres años.
3)
La integral expresa la cantidad de aceite que se ha fugado del tanque, desde el inicio de la fuga hasta el minuto ciento veinte.
Espero haberte ayudado.
Hola me podrian ayudar con esta pregunta, tengo problemas para entenderla, R es la relacion del conjunto ![]()

Me encantaría ayudarte, pero no respondemos dudas universitarias que no tengan que ver específicamente con los videos que ya he grabado como excepcion. O de otras asignaturas que no sean matemáticas, física y química. Lo siento de corazón… Espero lo entiendas
Ojalá algun unicoo universitario se anime a ayudarte (de hecho lo ideal es que todos los universitarios intentarais ayudaros los unos a los otros)