esta complicado esta actualización de la pagina, me habia perdido tenia tiempo sin ingresar a la página. Quisieran que me ayuden con la formula de:
Volumen, Temperatura, Calor, Calor especifico. PORFAA

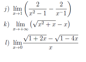
Recuerda que para poder aplicar la Regla de L'Hôpital, debes tener un cociente en el argumento del límite, que debe ser indeterminado.
i) Observa que la expresión en el argumento del límite puede escribirse:
f(x) = 2 / (x+1)(x-1) - 2/(x-1) = extraemos denominador común:
= ( 2 - 2(x+1) ) / (x+1)(x-1) = distribuimos en el numerador, reducimos términos semejantes y queda:
= - 2x / (x+1)(x-1).
Luego pasamos al cálculo del límite:
L = Lím(x-->1) ( - 2x / (x+1)(x-1) ) = infinito (observa que el numerador tiende a -2, y que el denominador tiende a 0, y que no fue necesario aplicar la Regla de L'Hôpital).
j) Observa que en la expresión de la función podemos multiplicar por la expresión "conjugada", y queda:
g(x) = ( √(x2 + x) - x )( √(x2 + x) + x ) / ( √(x2 + x) + x ), distribuimos en el numerador, operamos y queda:
= (x2 + x - x2 ) / ( √(x2 + x) + x ) = cancelamos términos opuestos en el numerador y queda:
= x / ( √(x2 + x) + x ), luego puedes continuar la tarea, y calcular el límite con la Regla de L'Hôpital.
k) Podemos multiplicar y dividir por la expresión "conjugada" del numerador, y la expresión de la función puede escribirse:
h(x) = ( √(1+2x) - √(1-4x) )( √(1+2x) + √(1-4x) ) / x( √(1+2x) + √(1-4x) ) =
distribuimos en el numerador, operamos y queda:
= ( 1 + 2x - (1 - 4x) ) / x( √(1+2x) + √(1-4x) ) = distribuimos, reducimos términos semejantes en el numerador y queda
= 6x / x( √(1+2x) + √(1-4x) ) = simplificamos y queda:
= 6 / ( √(1+2x) + √(1-4x) ), luego pasamos al cálculo del límite:
L = Lím(x-->0) h(x) = Lím(x-->0) 6 / ( √(1+2x) + √(1-4x) ) = 6/2 = 3,
observa que el cálculo es directo, y que no resultó necesario aplicar la Regla de L'Hôpital para resolver el límite.
Espero haberte ayudado.
Buenas tardes, me ayudarían con este eje de continuidad; me pide que determine si es continua en el punto (0;0). Gracias

Para estudiar la continuidad de la función en el punto de coordenadas A(0,0), observa:
1) La función no está definida en el punto, ya que su denominador toma el valor cero para el punto de estudio.
2) Para analizar el límite, ensayamos caminos:
a) x = 0, luego nos queda: La = Lím(y-->0) 0/√(02 + y2) = Lím(y-->0) 0/√(y2) = Lím(y-->0) 0/|y| = 0.
b) y = 0, luego nos queda: Lb = Lím(x-->0) x2/√(x2 + 02) = Lím(x-->0) x2/√(x2) = Lím(x-->0) x2/|x| = Lím(x-->0) |x|2/|x| = Lím(x-->0) |x| = ± 1.
Luego, como los límites no coinciden, tenemos que el límite de la función para (x,y) tendiendo a (0,0) no existe.
3) Como el límite no existe, concluimos que la función presenta una discontinuidad esencial (inevitable) en el punto de estudio A(0,0).
Espero haberte ayudado.
Una empresa de paquetería cobra 30 euros por enviar un paquete de 75 kilogramos a una población que esta a 350 kilómetros
A) ¿cuanto costara enviar 30 kilogramos a 210 kilómetros?
B) ¿que masa tendrá un paquete si a costado 68 euros enviarlo a 160 kilómetros?
C) ¿A cuantos kilómetros se ha enviado un paquete de 100 kilogramos si ha costado 130 euros?

Tienes proporcionalidad compuesta directa entre la masa del envío y la distancia, con el costo.
Partimos de:
75 Kg 350 Km 30 e
a) Planteamos:
75 Kg 350 Km 30 e
30 Kg 210 Km x
Luego:
75/30 * 350/210 = 30e/x, simplificamos en cada factor:
5/2 * 5/3 = 30e/x, resolvemos el primer miembro:
25/6 = 30e /x, hacemos pasajes de factores y divisores:
x = 6*30e / 25, resolvemos:
x = 180e / 25 = 7,20 e.
b) Planteamos:
75 Kg 350 Km 30 e
y 160 Km 68 e
Luego:
75Kg/y * 350/160 = 30/68, y puedes continuar la tarea.
c) Planteamos:
75 Kg 350 Km 30 e
100 Kg z 130 e
Luego:
75/100 * 350Km/z = 30/130, y puedes continuar la tarea.
Espero haberte ayudado.
La serie Σ(-1)nn2 converge?

Observa que el límite del valor absoluto del término general, para n tendiendo a +infinito queda:
Lím(n-->+inf) |an| = Líjm(n-->+inf) n2 = + inf, por lo que la serie es divergente (si hubiese sido igual a cero, tendríamos que continuar estudiando la convergencia o divergencia de la serie, pero como no es igual a cero, concluimos que no es divergente).
Espero haberte ayudado.
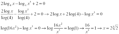
alguien me puede decir como se hace este sistema de logaritmos?
log x + 3 log y =5
log x - log y = 3

Despejamos en la primera ecuación: logx = 5 - 3logy (*),
sustituimos en la segunda ecuación y queda:
5 - 3logy - logy = 3, hacemos pasajes de términos, reducimos términos semejantes y queda:
- 4logy = - 2, hacemos pasaje de factor como divisor, simplificamos a la derecha y queda:
logy = 1/2 (**), luego componemos con la función inversa del logaritmo decimal y queda:
y = 101/2= √(10).
Luego reemplazamos el valor señalado (**) en la expresión señalada (*) y queda:
logx = 5 - 3(1/2), resolvemos el segundo término a la derecha y queda:
logx = 5 - 3/2, resolvemos a la derecha y queda:
logx = 7/2, luego componemos con la función inversa del logaritmo decimal y queda:
x = 107/2 = √(107).
Espero haberte ayudado.
Se que ya he subido la pregunta pero no me han contestado aun y de verdad es menester para mi que me contesten, es sobre cortadura de Dedekind.
Disculpen, pero necesitaría ayuda con este ejercicio , la parte B , cuando me pide que defina la solución como cortadura y complemento de la cortadura. no encuentro info en ningún lado y la profesora no es de prestar mucha ayuda, desde ya, agradezco la ayuda
hola!!! alguien me ayuda a resolver esto?? tengo dudas con el intervalo.. no se quien es de Y y de X :(

La notación como producto cartesiano R = [-1,1]x[0,1], equivale a los intervalos: -1≤x≤1, 0≤y≤1. Luego, pasamos a la integral doble:
I = ∫∫R(x2 + y2)dydx = integramos parcialmente con respecto a y, y queda:
= ∫ [x2y + y3/3]dx = evaluamos para y entre 0 y 1 y queda:
= ∫ ( x2 + 1/3 )dx = integramos con respecto a x:
= [ x3/3 + 1x/3 ] = evaluamos para x entre -1 y 1 y queda:
= (1/3 + 1/3) - (-1/3 - 1/3) = 2/3 - (-2/3) = 4/3.
Espero haberte ayudado.