Foro de preguntas y respuestas de Matemáticas

logo beUnicoos
Los foros de unicoos se han unificado en nuestra nueva plataforma beUnicoos. Para dejar nuevas preguntas deberás hacerlo allí, donde además podrás encontrar nuevas asignaturas y herramientas para ayudarte más con tus estudios.

  • icon

    Gabriel
    el 13/11/16

    Buenas.Si me dan dos vectores ,digamos A(2,3,5) yB(9.5.4)..y me piden encontrar un vector perpendicular a A y B, lo que tendria que hacer es el producto vectorial de ambos, y el resultante sera el perpendicular?

    replythumb_up0 voto/sflag
    icon

    Carlos Ojeda
    el 13/11/16

    Sí, el vector resultante será perpendicular a ambos

    thumb_up2 voto/sflag
    icon

    Gabriel
    el 14/11/16

    Y si quisiese comprobar, como deberia hacerlo?

    thumb_up1 voto/sflag
    icon

    Pablo
    el 14/11/16

    Tenes que multiplicar escalarmente cada uno de los  vectores que tenes por el que conseguiste multiplicando vectorialmente. Si te da 0 en ambos es porque hiciste bien el calculo. 

     Ejemplo:

    Si tengo el vector (4,3,4) y el vector (3,3,1)

    Supongamos que calcule un vector que sea ortogonal a ambos y es el (1,1,1)

    Entonces para comprobar tengo que multiplicar el (1,1,1) por el (4,3,4) y el (1,1,1) por el (3,3,1)

    (1,1,1)*(4,3,4) = 4 + 3 +4 =11 ----Como no es 0  el vector lo calcule mal. Por lo tanto cuando hagas la cuenta tiene que dar 0, si da 0 ne este caso y con el vector (3,3,1) es porque lo hiciste bien.



    thumb_up1 voto/sflag
  • icon

    Pablo
    el 13/11/16
    flag

    Como hallar una base de la imagen de una transformacion lineal?.

    Tengo los siguientes vectores:

    a) 2,0,-3

    b)1,0,0

    c) 3,-1,4

    d)1,-3,1

    e)-1,4,1

    Se sabe que estos son generadores de la imagen de una transformación lineal.

    Me piden hallar una base, el problema es que no me dejan usar determinantes y tengo que hacerlo creo como una combinacion lineal entre los vectores. He intentado usando combinacion lineal pero es tan largo y no llego a ningun lado.

    Me dicen que la base tiene dimension 3, es decir, de esos 5 vectores tengo 2 que tengo que sacar o eliminar para formar la base.


    replythumb_up0 voto/sflag
    icon

    David
    el 15/11/16

    Es posible te ayuden los vídeos de SUBESPACIOS VECTORIALES que grabé como excepción. Subespacios vectoriales

    A partir de ahí, se trata de que DESPUES DE IR A CLASE (ver los vídeos relacionados con vuestras dudas) enviéis dudas concretas, muy concretas. Y que nos enviéis también todo aquello que hayais conseguido hacer por vosotros mismos. Paso a paso, esté bien o mal. No solo el enunciado, pero no olvidéis de adjuntarlo de forma LITERAL, para saber que os piden. De esa manera podremos saber vuestro nivel, en que podemos ayudaros, cuales son vuestros fallos.... Y el trabajo duro será el vuestro. Nos cuentas ¿ok? #nosvemosenclase ;-)

     

    thumb_up1 voto/sflag
  • icon

    Luciia CP
    el 13/11/16
    flag

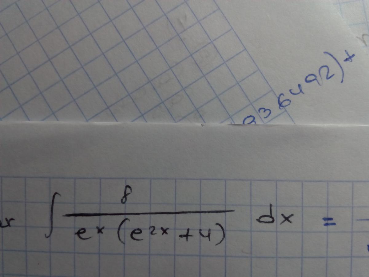
    Hola! Alguien me podría decir como hacer la siguiente integral 

    replythumb_up0 voto/sflag
    icon

    David
    el 16/11/16

    Puedes intentarla por cambio de variable.. t=e^x.... dt=e^x.dx... dt=t.dx.... dx=dt/t... Integrales con cambio de variable
    Al sustituir en la integral... ∫8 (dt/t) / (t.(t²+4) = 8.dt / (t².(t²+4)), que es una integral racional... Integrales racionales

    thumb_up0 voto/sflag
  • icon

    Amanda
    el 13/11/16

    ¿Cómo resuelvo este problema?


    Sacar el mcd lo sé hacer, el problema es cuando me preguntan algo más, como en este caso:


    Con tres cables que miden 28, 42 y 84m, respectivamente, queremos hacer trozos iguales y de la mayor longitud posible. ¿Cuánto medirá cada trozo? (me ha dado 14) ¿Cuántos podremos hacer con cada cable?


    Si pongo 11 trozos, ¿sería correcto? Pues no estoy segura de haber realizado bien las reglas matemáticas jeje.


    replythumb_up0 voto/sflag
    icon

    Ángel
    el 14/11/16

    Medirá 14 metros cada trozo, ya que m.c.m= 71*21=14

    (84+42+28)/14= 154/14= 11 trozos en total

    ...pero te preguntan con cada cable...entonces:

    * Con el de 28 metros= 28/14= 2 trozos

    * Con el de 42 metros= 42/14= 3 trozos

    * Con el de 84 metros= 84/14= 6 trozos



    thumb_up1 voto/sflag
  • icon

    Milena Bravo
    el 13/11/16
    flag

    Me podrían ayudar con el siguiente ejercicio? 


    replythumb_up0 voto/sflag
    icon

    David
    el 15/11/16

    Me encantaría ayudarte, pero no respondo dudas universitarias que no tengan que ver específicamente con los videos que ya he grabado como excepcion. O de otras asignaturas que no sean matemáticas, física y química. Lo siento de corazón… Espero lo entiendas

    Ojalá algun unicoo universitario se anime a ayudarte (de hecho lo ideal es que todos los universitarios intentarais ayudaros los unos a los otros)

    thumb_up0 voto/sflag
  • icon

    Rafa Jiménez
    el 13/11/16

    Hola, me podrían ayudar con el siguiente problema?

    Si en un examen de tipo test se eligen 20 preguntas al azar de un temario de 100 posibles preguntas, indicar cuantos modelos distintos pueden elaborarse. En el caso de ser obligatorio contestar a todas, y si cada pregunta tiene dos alternativas para elegir, hallar la probabilidad de contestar correctamente a 10 preguntas; al menos a 10; a lo sumo 10; y entre 10 y 15 preguntas suponiendo que el alumno conoce el 80% de la materia.


    replythumb_up0 voto/sflag
    icon

    Antonio Silvio Palmitano
    el 13/11/16

    Comencemos con la cantidad de exámenes:

    tienes n=100 preguntas disponibles, debes elegir k=20, sin orden y sin repetición, por lo tanto, la cantidad total de elecciones es:

    N = C(100,20) = 100! / ( 20!*80! ).

    Una vez elegidas las 20 preguntas del examen, tienes una distribución binomial con parámetros:

    n = 20

    p = 0,8, y luego tienes:

    q = 1 - p = 0,2.

    Luego, si dispones de una tabla para esta distribución, podrás contestar con muy buena aproximación:

    p(X=10) = C(20,10)* 0,810 * 0,210

    p(X≥10) = ∑(k=10,20) C(20,k) * 0,8k * 0,220-k

    p(X≤10) = ∑(k=0,10) C(20,k) * 0,8k * 0,220-k

    p(10≤X≤15) = p(X≤15) - p(X≤9) = ∑(k=0,15) C(20,k) * 0,8k * 0,220-k - ∑(k=0,9) C(20,k) * 0,8k * 0,220-k

    Espero haberte ayudado.

    thumb_up0 voto/sflag
  • icon

    Paula
    el 13/11/16

     Ayuda por favor.

    Si P(x)= 2x4 - 3x3+5x2 - x+1

    Q(x)=x+2

    R (x)= -x2 +2x-1

    Calcular:

    b) P(x) *Q(x)= R(x)

    c) 2*P(x)=3*Q(x)

    replythumb_up0 voto/sflag
    icon

    César
    el 13/11/16

    Puedes poner enunciado original??

    thumb_up0 voto/sflag
    icon

    Paula
    el 13/11/16

    Rectifico, sería b) P(x) * Q(x) : R(x)

                                c) 2*P(x):3*Q(x)

    thumb_up0 voto/sflag
    icon

    Paula
    el 13/11/16

    Perdón César. No lo copié bien.

    thumb_up0 voto/sflag
    icon

    Ángel
    el 13/11/16

    Si la "b)" es: [P(x) * Q(x)] : R(x)   

    P(x)*Q(x)= (2x- 3x3+5x2 - x+1) * (x+2)= 2x5 - 3x4+5x3 - x2+ x + 4x- 6x3+10x2 - 2x+2 =  2x5 + x4 - x3 +9x2 -x+2 dividido entre -x+2x-1, hazlo con ayuda de este vídeo:

    http://www.unicoos.com/video/matematicas/4-eso/polinomios/operaciones-con-polinomios/division-de-polinomios


    c) 2*P(x)= 4x- 6x3+10x2 - 2x+2

        3*Q(x)= 3x+6

    4x- 6x3+10x2 - 2x+2    dividido entre     3x+6

    (haz la división con la ayuda del vídeo anterior)








    thumb_up0 voto/sflag
    icon

    Paula
    el 13/11/16

    Ya lo he visto, pero no entiendo.

    thumb_up0 voto/sflag
  • icon

    Facundo Meier
    el 13/11/16

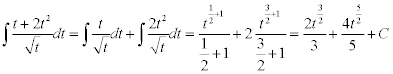
    Hola Unicoos!!. Me pueden explicar por favor el siguiente ejercicio de integrales?

    ∫ ((t + 2t^2)/√t )dt

    Muchas gracias



    replythumb_up0 voto/sflag
    icon

    César
    el 13/11/16

    separa en dos sumandos

    thumb_up0 voto/sflag
  • icon

    Karla
    el 13/11/16

    Hola! Tengo el siguiente problema: "En los ejercicios 11 a 28 dibuje la región acotada por las gráficas de las ecuaciones que se dan, muestre una rebanada representativa, aproxime su área, formule una integral y calcule el área de la región. Haga su estimación del área para confirmar se respuesta." Y el primero ejemplo es: Y=3 - 1/3x2 ( un tercio de equis cuadrada) , Y=0 . entre X=0 y X=3

    Alguna ayuda por favor?!!!!

    replythumb_up0 voto/sflag
    icon

    César
    el 13/11/16

    Te dejo la gráfica asociada

    thumb_up0 voto/sflag
  • icon

    Andrés Torrico
    el 13/11/16
    flagflag

    Hola a todos! Duda tengo dudas sobre este enunciado de diferenciabilidad. Tengo la teoría y conceptos a mano pero por donde arranco?? Estoy trabado, por ejemplo en punto 1.

    Gracias!!

    replythumb_up0 voto/sflag
    icon

    David
    el 16/11/16

    Me encantaría ayudarte, pero no respondo dudas universitarias (y calculo multivariable lo es) que no tengan que ver específicamente con los videos que ya he grabado como excepcion. O de otras asignaturas que no sean matemáticas, física y química. Lo siento de corazón… Espero lo entiendas

    Ojalá algun unicoo universitario se anime a ayudarte (de hecho lo ideal es que todos los universitarios intentarais ayudaros los unos a los otros)

    thumb_up0 voto/sflag