Tengo que realizar esta igualdad mediante esto como seria?
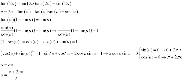
a) tag elevado a la 2 a - tag elevado a la 2 a. sen elevado a la 2a = sen elevado a la 2 a

Si la identidad trigonométrica que debemos verificar es:
tan2a - tan2a * sen2a = sen2a, extraemos factor común en el primer miembro y queda:
tan2a * ( 1 - sen2a ) = sen2a, sustituimos según la identidad: 1 - sen2a = cos2a, y queda:
tan2a * cos2a = sen2a, sustituimos según la identidad: tana = sena/cosa, y queda:
( sena/cosa )2 * cos2a = sen2a, distribuimos la potencia en el primer factor y queda:
sen2a/cos2a * cos2a = sen2a, simplificamos en el primer miembro y llegamos a:
sen2a = sen2a.
Por lo que concluimos que la identidad trigonométrica es válida.
Espero haberte ayudado.
Hola unicoos, llevo varios días intentado entender los límites direccionales y reiterados de dos variables y, bueno, no consigo entenderlo del todo bien. Sé que esto no se ve en bachillerato, no lo vi en su día. Estoy en la universidad y me gustaría que me ayudaseis con ellos si pudieseis. Gracias.

mmm es dificil explicar si no tiene un ejercicio para mostrar, lo que tienes que hacer igual basicamente, es resolver el limite de x--> x0, despues el de lim Y-->y0
luego hacer lo mismo pero inversamente. osea primero lim Y-->y0 luego x--> x0,. y te tienen que dar lo mismo, pero ojo que por mas que te den lo mismo no te sirve para asegurar la continuidad.
Buenas, estoy estancada en este problema de optimización.
El área del trapecio a maximizar me sale A=h*(a+x), si llamamos "h" a la altura y "x" a la base de cada triángulo lateral.
La restricción me queda como h= √(1-x^2) o cos(α)=√(1- sen^2(α)) si hago la equivalencia con las razones trigonométricas.
Si intento despejar el parámetro "a", la derivada me lleva a un punto muerto. ¿Me lo podéis resolver?
Hola unicoos,
Hoy hice mi examen de matemáticas, y estoy convencida de aprobar, pero quisiera preguntaros algunas que anoche me olvidé de buscar problemas resueltos del mcm, y hoy dudé en el examen, y también con 2 números que teníamos que escribirlo en una sola potencia, y tampoco supe resolver, lo demás todo muy bien... a ver si me podéis ayudar con ellos.
De todos los que puso hubo dos en concreto que no supe expresarlos en una sola potencia, serían los siguientes:
a) 63•23=
b) (72)4=
Y la otra era un problema con dos preguntas, usando el mcm... más o menos era lo siguiente: Un autobús de la línea cae en la parada cada 40 minutos, y el de la línea B cada 60 minutos... ¿Cuándo volverán a coincidir A y B? (mi resultado es: 120 minutos). Coindicieron por última vez a las 7:00h, hasta las 12:00h... ¿Cuántas veces volverán a coincidir?
En esta segunda no sé si lo hice bien o no, porque lo hice a potra pensando un poco, pero vamos, sin calculos ni nada... yo puse una vez... (espero que aunque haya sido a potra, haberlo hecho bien jiji)...
A ver si me ayudáis para recordarlo en otra ocasión :p

a) 63•23 = (6•2)3 = 123, hemos aplicado la propiedad del producto de potencias con exponentes iguales.
b) (72)4 = 72•4 = 78, hemos aplicado la propiedad de la potencia cuya base es otra potencia.
En el problema has respondido bien: el mínimo común múltiplo entre 40 y 60 es 120, por lo que coincidirán en la parada cada 120 minutos = 2 horas, por lo tanto, si coincidieron a las 7:00 hs, también coincidirán a las 9:00 hs y a las 11:00 hs en la parada, o sea que volverán a encontrarse dos veces más antes de las 12:00 hs.
Espero haberte ayudado.
Todo el cálculo que se puede hacer en este ejercicio te lo ha descrito Don Antonio perfectamente...quizás te ayude hacer una pequeña "tabla de horarios de coincidencia"
07:00
09:00
11:00
13:00
15:00
17:00
19:00
21:00
23:00
01:00
03:00
05:00
.....entonces, dependiendo de la franja horaria a que te hagan referencia: te fijas en la tabla y respondes

Bueno yo no me refería exactamente a esto, mi pregunta consistía más bien, si en vez de crear una tabla, se podía hacer con alguna operación, ya sea resta, suma, división, etc... La mente y la imaginación es muy amplia, en la que la mente se pierde navegando en esas imaginaciones... las que lleva muchas veces a confusión...

A partir de la parametrización de la trayectoria tienes:
x = et, de donde tienes: dx = etdt
y = sen(2t), de donde tienes: dy = 2cos(2t)dt
z = t3, de donde tienes: dz = 3t2dt.
Luego pasamos a la Integral de Línea:
I = ∫c(zdx + ydz - xdy) = ∫ ( t3 etdt + sen(2t)3t2dt - et2cos(2t)dt ), luego separamos en términos y queda:
I = ∫ t3 etdt + 3∫ t2sen(2t)dt + 2∫etcos(2t)dt, para evaluar con Regla de Barrow entre π/2 y 2π.
Luego puedes continuar con cada integral por separado (observa que todas se resuelven por partes, las dos primeras en tres y dos pasos, y la tercera es recursiva).
Espero haberte ayudado.
Hola buenos dias . Tengo una duda :
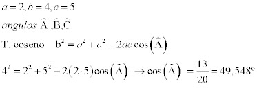
El enunciado original : 5º Calcula los ángulos de un triángulo cuyos lados miden a=2cm; b=4cm; c=5cm
Lo que hize yo :
α = 60°, β = 45°, γ = 75°, para los ángulos con vértices A, B y C, respectivamente.
Luego, observo que el lado opuesto al vértice C, lo denomino c, tiene 80m de longitud, y que me preguntan las longitudes de los otros dos lados: b (opuesto al vértice B) y a (opuesto al vértice A).Se que el semiperímetro del triángulo es p = (a+b+c)/2., por lo tanto seria :
tan(β/2) = V( (p-a)(p-c) / p(p-b) )
tan(γ/2) = V( (p-a)(p-b) / p(p-c) )