Hola,
tengo la función f(x)=
x3+2x+2 si x<0
x2-3x+2 si x≥0
tengo que hallar:
a) Continuidad y derivabilidad de f(x)
¿está bien hecho?
Gracias

Vas bien encaminado, pero para formalizar correctamente la continuidad en x = 0 (punto de corte entre trozos) tenemos:
1) f(0) = 2 (observa que 0 pertenece al intervalo del dominio que corresponde al segundo trozo.
2) Límites laterales:
Lím(x-->0-) f(x) = Lím(x-->0-) (x3 + 2x +2) = 2
Lím(x-->0+) f(x) = Lím(x-->0+) (x2 - 3x + 2) = 2
luego, como los límites laterales coinciden, tenemos:
Lím(x-->0) f(x) = 2.
3) Como tenemos que f(0) = Lím(x-->0) f(x) = 2, concluimos que f(x) e continua en x = 2.
Luego, has señalado correctamente que la función es continua en R, y también que es derivable en R - {0}.
Espero haberte ayudado.
Tengo la función f(x)=
x3+2x+2 si x<0
x2-3x+2 si x≥0
tengo que hallar:
b) Los extremos de f(x) en [-2,2]
¿está bien hecho?

Has seleccionado bien los puntos notables, y justificado bien con el Teorema.
Observa en tu tabla de valores, que debes evaluar los puntos notables en la expresión de la función:
f(-2) = - 8 - 4 + 2 = -10 (lo hemos evaluado en la expresión del primer trozo),
f(0) = 0 - 0 + 2 = 2 (lo hemos evaluado en la expresión del segundo trozo),
f(3/2) = 9/4 - 9/2 + 2 = -1/4 (lo hemos evaluado en el segundo trozo),
f(2) = 4 - 6 + 2 = 0 (lo hemos evaluado en el segundo trozo).
Por lo tanto, concluimos que la función alcanza su valor míniimo absoluto en x = -2, y su valor mínimo absoluto en x = 0.
Espero haberte ayudado.

Vamos con orientaciones para los dos primeros problemas.
2) Tenemos para las coordenadas del centroide (es muy conveniente que grafiques la región):
xc = ∫ x(4-x2)dx / ∫ (4-x2)dx, con intervalo de integración: 0 ≤ x ≤ 2.
Luego, planteamos la ecuación explícita para x, queda: x = √(4-y), luego:
yc = ∫ y√(4-y)dy / ∫ √(4-y)dy, con intervalo de integración: 0 ≤ y ≤ 4.
3) Observa que las gráficas se cortan para x = 0 y x = 3, por lo que el intervalo de integración queda: 0 ≤ x ≤ 3, y observa que g(x) ≥ f(x) en el intervalo.
Luego planteamos:
G(x) = g(x) - (-1) = 4 - x + 1 = 5 - x,
F(x) = f(x) - (-1) = x2 - 4x + 4 + 1 = x2 - 4x + 5.
Luego planteamos el volumen de revolución alrededor del eje paralelo al eje OX, cuya ecuación es y = -1:
V = π ∫ ( G(x)2 - F(x)2 )dx, con intervalo de integración: 0 ≤ x ≤ 3 (te dejo la tarea para que la continúes).
Espero haberte ayudado.

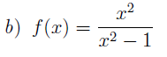
Tienes la función cuya expresión puede escribirse:
f(x) = x2/(x2 - 1) = ( (x2 - 1) + 1 ) / (x2 - 1) = (x2 - 1)/(x2 - 1) + 1/(x2 - 1) = 1 + 1/(x2 - 1) = 1 + (x2 - 1)-1.
Luego, pasamos a la expresión de su derivada primera:
f ' (x) = - 2x(x2 - 1)-2 = - 2x/(x2 - 1)2.
Luego, pasamos a la expresión de su derivada segunda:
f ' ' (x) = -2(x2 - 1)-2 + 8x2(x2 - 1)-3 = (x2 - 1)-3 ( -2(x2 - 1) + 8x2 ) = (x2 - 1)-3 ( 6x2 + 2 ) = ( 6x2 + 2 )/(x2 - 1)3 .
1) Dominio. A partir de la expresión de la función, observa que el denominador se anula para - 1 y 1, tenemos que el dominio es: D = R - { -1 , 1 }.
2) Imagen. A partir de la expresión de la función:
y = 1 + 1/(x2 - 1), hacemos pasaje de término y queda:
y - 1 = 1/(x2 - 1), hacemos pasaje de divisor como factor y queda:
(x2 - 1)(y - 1) = 1, hacemos pasaje de factor como divisor y queda (observa que y debe ser distinto de 1):
x2 - 1 = 1/(y - 1), hacemos pasaje de término y queda:
x2 = 1/(y - 1) + 1, extraemos denominador común, resolvemos a la derecha y queda:
x2 = y/(y - 1), observa que el primer miembro es positivo, por lo que el segundo debe ser positivo, y tenemos dos opciones:
a) y > 0 e y > 1, que conduce al intervalo (1,+inf);
b) y < 0 e y < 1, que conduce al intervalo (-inf,0).
Por lo tanto, concluimos que la imagen de la función es el conjunto: I = (-inf,0) u (1,+inf).
3) Ceros. Planteamos la ecuación:
f(x) = 0, sustituimos y queda:
1 + 1/(x2 - 1) = 0, hacemos pasaje de término y queda:
1 = -1/(x2 - 1), hacemos pasaje de divisor como factor y queda:
x2 - 1 = - 1, hacemos pasaje de término, resolvemos a la derecha y queda:
x2 = 0, que nos conduce a: x = 0.
4) Paridad. Planteamos la expresión:
f(-x) = 1 + 1/( (-x)2 - 1) = 1 + 1/(x2 - 1) = f(x), por lo que concluimos que la función es par.
5) Puntos críticos. Planteamos la ecuación:
f ' (x) = 0, sustituimos y queda:
- 2x/(x2 - 1)2 = 0, hacemos pasaje de divisor como factor, de factor como divisor, resolvemos a la derecha y queda:
x = 0.
6) Posibles puntos de inflexión. Planteamos la ecuación:
f ' ' (x) = 0, sustituimos y queda:
( 6x2 + 2 )/(x2 - 1)3 = 0, hacemos pasaje de divisor como factor, resolvemos a la derecha y queda:
6x2 + 2 = 0, hacemos pasaje de término y queda:
6x2 = -2, observa que es una igualdad absurda, ya que el primer miembro es positivo, y el segundo es estrictamente negativo,
por lo que concluimos que la gráfica de la función no presenta puntos de inflexión.
7) Asíntotas (te dejo la tarea de hacer los cálculos). Planteamos:
a) Asíntotas Horizontales: planteamos los límites de f(x) para x tendiendo a -infinito y tendiendo a +infinito.
b) Asíntotas Verticales: planteamos los límites por izuierda y por derecha en cada una de las discontinuidades: -1 y 1.
c) Asíntotas Oblicuas: planteamos los límites de la expresión f(x)/x para x tendiendo a infinito para la pendiente y, si existe y no es igual a cero, planteamos también el límite para x tiendiendo a infinito de la expresión (f(x) - mx).
8) Subdividimos el dominio en intervalos, con cortes en las discontinuidades, los puntos críticos y los posibles puntos de inflexión, planteamos un representante en cada intervalo, y evaluamos para ellos los signos de las expresiones de la derivada primera y de la derivada segunda. Tenemos los intervalos:
(-inf,-1), representado por x = -2, y para él tenemos: f ' (-2) > 0 y f ' ' (-2) > 0, por lo que tenemos que la gráfica es creciente y cóncava hacia arriba en este intervalo;
(-1,0), representado por x = -1/2, y para él tenemos: f ' (-1/2) > 0 y f ' ' (-1/2) < 0, por lo que tenemos que la gráfica es creciente y cóncava hacia abajo en este intervalo (*);
(0,1), representado por x = 1/2, y para él tenemos; f ' (1/2) < 0 y f ' ' (1/2) < 0, por lo que tenemos que la gráfica es decreciente y cóncava hacia abajo en este intervalo (*);
(1,+inf), representao por x = 2, y para él tenemos: f ' (2) < 0 y f ' ' (2) > 0, por lo que tenemos que la gráfica es decreciente y cóncava hacia arriba en este intervalo;
y a partir de las consideraciones señaladas (*) tenemos que la gráfica de la función presenta un máximo en x = 0, que luego con el gráfico se puede determinar que es un máximo local.
Queda para que completes la tarea.
Espero haberte ayudado.
Buenas tardes, me podrian dar la idea de como hacer el problema 2 y 3, lo que no entiendo es como puedo sacar la proyeccion de un vector en un plano, y como podria probar si una curva pertenece a un plano que me da como dato. Ayuda porfavor.

No te piden la proyeccion de un vector sino la proyeccion de uns segmento..
Para ello, halla la proyeccion del punto A sobre el plano y luego la proyeccion del punto B sobre el plano...
Te vendrá genial este vídeo.. Punto simétrico a una recta en R³
Cuando hallo M, estoy hallando la proyeccion de un punto sobre un plano..
Nos cuentas ¿ok?
P.D. Con la torsión, lo siento, no puedo ayudarte. Se da en la universidad. Y solo en algunas carreras.. Por si te ayuda... http://matematicas.unex.es/~brequejo/GEOMETRIA_DIFERENCIAL_I/Capitulo%20II.pdf
Hola Unicoos,
Me piden hallar las restantes razones trigonométricas dándome la tg∝= 4/3 y como dato que está en el 3er cuadrante. He intentado sacar el coseno pero la solución no coincide con mi resultado.
Me podrían ayudar?

Observa que has cometido un error:
(16/9)y2 + y2 = extraemos factor común = (16/9 + 1)y2 = extraemos denominador común en el agrupamiento:
= ( (16 +9)/9 )y2 = (25/9)y2.
Luego continúas con la identidad:
(16/9)y2 + y2 = 1, resolvemos a la izquierda como hemos hecho más arriba:
(25/9)y2 = 1, hacemos pasajes de factor y divisor:
y2 = 9/25, hacemos pasaje de potencia como raíz:
y = √(9/25), que nos conduce a dos opciones:
a) y = cosα = 3/5, que no corresponde a un ángulo del tercer cuadrante;
b) y = cosα = -3/5, que si corresponde a un ángulo del tercer cuadrante:
Luego puedes continuar con la tarea.
Espero haberte ayudado.
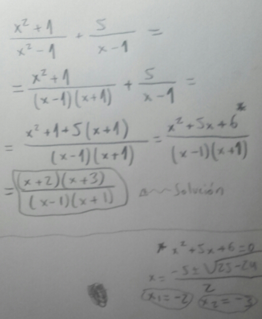
Hola! Alguien me podria resolver este ejercicio de fracciones algebraicas? Lo he intentado pero no me sale :( gracias!!

Van orientaciones:
1) Observa que x2 -1 = (x+1)(x-1), por lo que la expresión puede escrobirse:
(x2+1) / (x+1)(x-1) + 5/(x-1) = extraemos denominador común:
= ( x2+1 + 5(x+1) ) / (x+1)(x-1) = distribuimos y reducimos términos semejantes en el numerador:
= ( x2 + 5x + 6 ) / (x+1)(x-1) = factorizamos el numerador (observa que es un polinomio cuadrático):
= (x+2)(x+3) / (x+1)(x-1).
2) Observa que podemos factorizar al polinomio cuadrático x2 - x - 6 = (x+2)(x-3), luego la expresión puede escribirse:
4x/(x+2) + (x-5)/(x-3) - (4x2 - 5x + 8) / (x+2)(x-3) = extraemos denominador común:
= ( 4x(x-3) + (x-5)(x+2) - (4x2 - 5x + 8) ) / (x+2)(x-3) = distribuimos en el numerador:
= ( 4x2 - 12x + x2 + 2x - 5x - 10 - 4x2 + 5x - 8 ) / (x+2)(x-3) = reducimos términos semejantes en el numerador:
= (x2 - 10x - 18) / (x+2)(x-3).
Espero haberte ayudado.