
Has planteado correctamente los límites de integración y el cambio de cordenadas. Observa que el argumento de la raíz en la expresión de la función queda.
16 - r:²(oos:²θ + sen:²θ) = 16 - r:², luego al integral queda:
V = ∫∫ V(16 - r:²)rdrdθ , con 0 ≤ θ ≤ 2π y 0 ≤ r ≤ 2.
Observa que la integral para r puedes resolverla con la sustitución: w = 16 - r:², y luego continuar la tarea.
Espero haberte ayudado.
Hola!! Queria pedirles ayuda sobre esta ECUACION:
(X +1) : 2 = 2 X + 10
Podrían hacermelo? porque no se si todo lo que esta en el parentesis se divide por 2 o si ese ".2" pasa multiplicando.

Puedes comenzar por multiplicar por 2 en todos los términos de la ecuación y queda:
x + 1 = 4x + 20, haces pasajes de términos y queda:
x - 4x = 20 - 1, resuelves en ambos miembros y queda:
- 3x = 19, multiplicamos por -1/3 en ambos miembros, resolvemos a la derecha y queda:
x = -19/3.
Con respecto a tu pregunta, observa:
el denominador de la izquierda es común para todo el primer miembro, por lo que podrías haber comenzado:
x + 1 = 2(2x + 10);
o, si prefieres, puedes distribuir el denominador y comenzar con:
x/2 + 1/2 = 2x + 10.
Luego, con cualquiera de las formas, llegarás al mismo resultado. Haz el intento para verificar, y de paso practicas.
Espero haberte ayudado.
Buenas, tengo un problema con esta integral: 1/(1+x^4)dx, agradecería que alguien me la explicara. =)
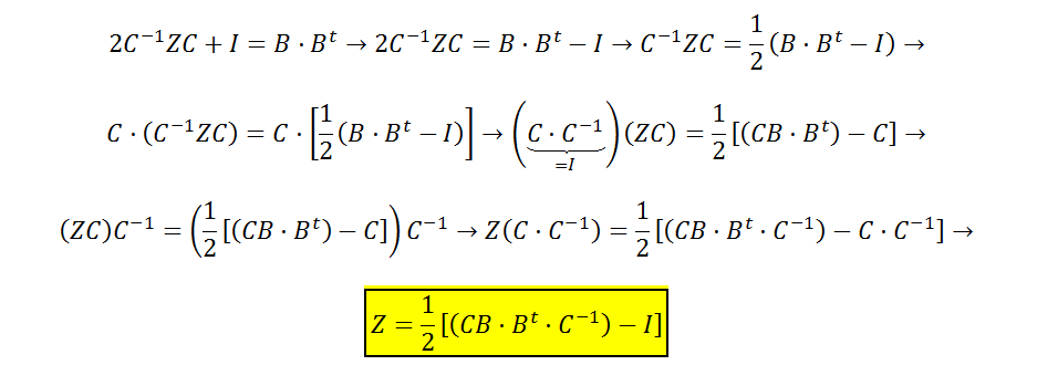
Buenas tardes, alguien me podría ayudar a despejar la Z de esta ecuación? 2.C-1Z.C+I3=B.Bt
gracias!

Te sugiero estos vídeos, todos los de esta lección.. ALGEBRA Matriz de Cambio de Base 01 A partir de ahí, me encantaría ayudarte, pero no respondo dudas universitarias que no tengan que ver específicamente con los videos que ya he grabado como excepcion. Lo siento de corazón… Espero lo entiendas
Buenas Tardes Unicoos,
¿Alguien me puede ayudar con este ejercicio de Optimización?
- De todos los prismas rectos de base cuadrada y tales que el perímetro de una cara lateral es de 30 cm, halla las dimensiones del que tiene su volumen máximo.
Gracias