Hola, llevo horas intentando hacer esto y soy incapaz, me gustaría saber si alguien me puede resolver este ejercicio porque tengo un exámen en los próximos días y me gustaría verlo resuelto paso a paso para aprender. Gracias amigos.
Hallar todas las raíces del siguiente polinomio sabiendo que -2-2i es una raíz del mismo: z^5+4z^4+8z^3+27z^2+108z+216
(Utilícese la siguiente fórmula cuando sea necesaria: n√R=n√(R+2πk)/n sabiendo que k=0,1,2,...,n)
Quien me ayuda con este problema:
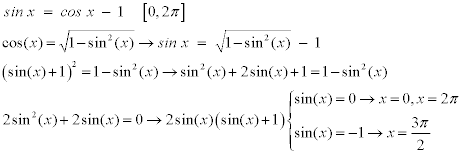
sin x = cos x - 1 en el inervalo [0,2π]
Hola Juan.
a mi se me ocurre pasar el -1 al otro lado de la ecuación; es decir:
sinx + 1 = cosx
a continuación yo me dibujé la circunferencia goniométrica (r=1) y entonces miré donde si sumamos 1 al seno nos da el mismo valor que el coseno.
y mis resultados son que cuando:
x=0 x=2π x=3π/2
En x=0 y x=2π ; el coseno vale 1 y el seno 0, por lo que 1=0+1 ; 1=1
y en x=3π/2 ; el coseno vale 0 y el seno -1, por lo que 0=-1+1 ;0=0
Espero haberte ayudado y que lo hayas entendido.
Hola David,
Me gustaría que subieras un vídeo donde expliques los multiplicadores de Lagrange por favor, espero que me contestes pronto. Por cierto soy alumno en grado de ade.
Hola :)
Quería saber porque resolviendo 3log2+log5+log1/25-log4 da log2/5, creo tener todos los pasos, pero no llego a entender el resultado (copiado de la profe)
Hola me podrian ayudar con el sig. Limite porfavor. pero que no sea por L hopital no me deja usarlo el profe y queria saber tambien cuando saber cual conjugado voy a usar si las 2 tienen raiz![]()

Otra forma: observa que para salvar la indeerminación, y dado que el mínimo común múltiplo entre los índices de las raíces es 15, puedes escribir (expresamos raíz cúbica con (3V), raíz quinta con (5V) y raíz decimoquinta con (15V)):
Numerador: N = 1 - (3V)(x) = 1 - ( (15V)(x) )^5,
Denominador: D = 1 - (5V)(x) = 1 - ( (15V)(x) )3.
Luego, puedes plantear la sustitución (cambio de variable):
w = (15V)(x), y observa que w tiende a 1 cuando x tiende a 1, luego sustituyes y queda:
N = 1 - w^5 = factorizamos la diferencia de potencias de exponente 5 = (1 - w)(1 + w + w^2 + w^3 + w^4),
D = 1 - w^3 = factorizamos la diferencia de cubos = (1 - w)(1 + w + w^2).
Luego, observa que al sustituir numerador y denominador en la expresión de la función puedes simplificar y el límite queda:
Lím(w-->1) ( (1 + w + w^2 + w^3 + w^4) / (1 + w + w^2) ) = 5/3.
Espero haberte ayudado.
Hola, buenas tardes, ¿podrían decirme como se harían estos ejercicios?:
a) B3/√A -logA2
b) log √B/10A
(lo que esta en negrita son fracciones, y los numeros de al lado de las letras A,B son a los que estan elevados, menos el 10 que es uno normal )

Matias una pregunta al final en la parte de ¨......- 1 - log A¨ por que has cambiado el segundo signo, siendo un signo ¨+¨ lo has pasado ha ¨-¨ . No se si me explico. no puedo subir la foto marcando donde tengo la duda, nose si con la explicación te sirve, para marcarte mi duda. de todos modos
graciasss :D