Foro de preguntas y respuestas de Matemáticas

logo beUnicoos
Los foros de unicoos se han unificado en nuestra nueva plataforma beUnicoos. Para dejar nuevas preguntas deberás hacerlo allí, donde además podrás encontrar nuevas asignaturas y herramientas para ayudarte más con tus estudios.

  • icon

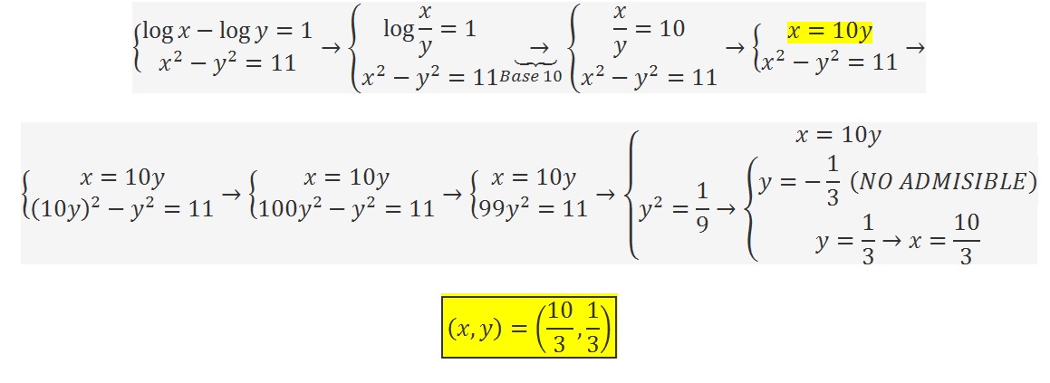
    Alejandro Gil Gil
    el 16/8/16

    Como se hace este ejercicio?

    replythumb_up0 voto/sflag
    icon

    Andrés Alvarado
    el 16/8/16

    Hola Alejandro, espero haberte ayudado :)

    thumb_up1 voto/sflag
  • icon

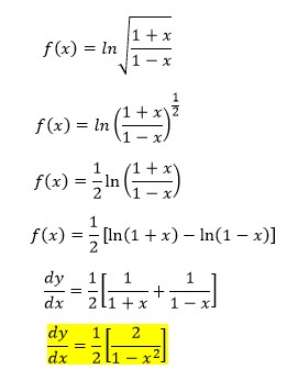
    Alejandro Gil Gil
    el 16/8/16

    Alguien me podría ayudar a derivar esto?

    replythumb_up0 voto/sflag
    icon

    Axel Morales Piñón.
    el 16/8/16

    Te ayudamos Alejandro

    thumb_up3 voto/sflag
    icon

    Alejandro Gil Gil
    el 1/9/16

    la solución no quedaría así: 1/2*[2/1-x²]^-1/2  ????

    thumb_up0 voto/sflag
  • icon

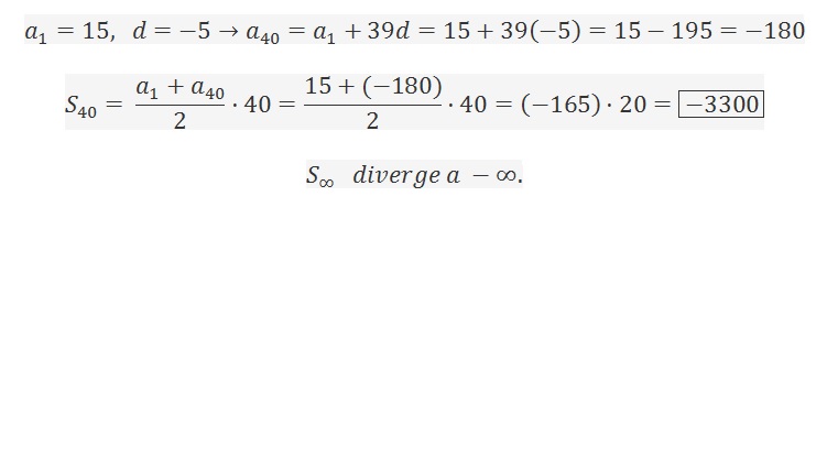
    maha
    el 16/8/16

    Muy buenas unicoos,acabo de realizar un ejercicio de 3 E.S.O de una progresion aritmetica, gracias a un video de youtube
    he coneguido entenderlo y realizar otro ejercicio distinto, aun siguiendo los pasos, el resultado que he obtenido de este no me convence.
    Aqui dejo la operacion, por si lograis ayudarme:

    15,10,5,0,-5... d:-5
    ·Halla S_40 y si es posible la suma de los infinitos terminos.

    Gracias!

    replythumb_up0 voto/sflag
    icon

    Antonius Benedictus
    el 16/8/16

    Revisa las operaciones maha;

    thumb_up0 voto/sflag
  • icon

    Denise
    el 16/8/16

    Hola unicoos. Me podrían ayudar en cualquiera de estas inecuaciones, es el ejercicio 20. Muchas gracias

    replythumb_up0 voto/sflag
    icon

    Alejandro Gil Gil
    el 16/8/16

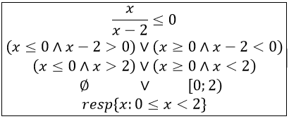
    Aquí tienes el apartado b, creo que está bien...

    thumb_up2 voto/sflag
    icon

    Antonius Benedictus
    el 16/8/16

    Te ayudamos, Denise:

    thumb_up1 voto/sflag
    icon

    Desencadenado
    el 16/8/16

    a)

    thumb_up1 voto/sflag
    icon

    Desencadenado
    el 16/8/16

    d)

    thumb_up1 voto/sflag
  • icon

    Denise
    el 16/8/16

    El apartado c)

    replythumb_up0 voto/sflag
    icon

    Axel Morales Piñón.
    el 16/8/16

    Va Denise

    thumb_up1 voto/sflag
    icon

    Antonius Benedictus
    el 16/8/16

    Espero ayudarte, Denise:

    thumb_up1 voto/sflag
  • icon

    Adri González González
    el 16/8/16

    Hola UNICOOS. Quería saber como se resuelve este ejercicio que me está comiendo la cabeza... y antes e nada agradecer vuestro trabajo!
    Nos dan las rectas r, determinada por los puntos A(2, −1, 1), B(0, 1, −1), y s
    determinada por C(2, 0, −1) y D(2, 1, −1).
    a) Escribe la ecuación general (o implícita) del plano paralelo a r y s que pasa por el
    origen de coordenadas.
    b) Escribe la ecuación general del plano que pasa por B y es perpendicular a r.

    replythumb_up0 voto/sflag
    icon

    Antonius Benedictus
    el 16/8/16

    No te comas más el coco, dri, y presta atención:

    thumb_up0 voto/sflag
    icon

    Adri González González
    el 16/8/16

    Muchas gracias Antonio, no me quedó del todo claro pero de ayuda me vale!
    Hay otro ejercicio que no se como se hace... es de 2º de bach.
    Halla la ecuación del plano que contiene a la recta:
    y al punto P(2, −3, 1). Explica el procedimiento.

    thumb_up0 voto/sflag
    icon

    Antonius Benedictus
    el 16/8/16

    Pon la recta, que te has olvidado.
    Pregunta lo que precises.

    thumb_up0 voto/sflag
    icon

    Adri González González
    el 16/8/16

    Cierto, lo siento.

    r: 2x-y+z-2=0
    x+3y-z+4=0

    thumb_up0 voto/sflag
  • icon

    Adriana Drago Xuclà
    el 16/8/16

    Hola Unicoos, me estoy preparando para la sele de Cataluña de matemáticas sociales y tengo varias dudas en dos problemas uno es sobre encontrar la recta tangente y otra sobre una ecuación matricial, os reescribo el enunciado en castellano.:
    Considera la función f(x)=2x+2/x^2-x+2
    a) Escribe la ecuación de la recta tangente a la gráfica de f en el punto de corte el eje de las ordenadas.
    b) Determina los puntos de la curva en qué la recta tangente es horizontal
    La segunda pregunta es:
    Las matrices A=( 1 a) B= ( b c)
    2 -a 1 1
    a) Calcula las matrices A+B y A*B (este apartado ya lo he hecho y me ha dado bien)
    b)Determina sus valores de a,b y c que cumplen A+B=A*B (en este apartado he echo el planteamiento de las ecuaciones)

    A+B=A*B -------------------- 1+b=b+a
    -------------------- a+c=c+a
    ------------------- 3=2b-a
    ------------------- -a+1=2c-a

    Gracias UNICOOS

    replythumb_up0 voto/sflag
    icon

    Antonius Benedictus
    el 16/8/16

    Adriana, pon mejor foto del enunciado original, que no me queda claro cómo es la función y cómo son las matrices. Entendemos catalán.

    thumb_up0 voto/sflag
  • icon

    Vanessa Martin Gines
    el 16/8/16

    Hola,me podriais decir si hice este ejercicio bien,y si no donde he fallado para poder corregirlo. Muchas gracias

    replythumb_up0 voto/sflag
    icon

    Antonius Benedictus
    el 16/8/16

    Vanessa, es mejor que utilices fracciones y radicales, que dan resultados siempre exactos. Por ejemplo:

    thumb_up1 voto/sflag
    icon

    Vanessa Martin Gines
    el 17/8/16

    Muchas gracias por el consejo ,pero aun asi me gustaria saber si lo tengo bien o no y otro que haga lo hare como me dices.

    thumb_up0 voto/sflag
  • icon

    Kristina Alekova
    el 16/8/16

    Como se haría la derivada de:

    Y= ln cos arctan e^x

    Gracias!!!

    replythumb_up0 voto/sflag
    icon

    Antonius Benedictus
    el 16/8/16

    Así, Cristina:

    thumb_up1 voto/sflag
  • icon

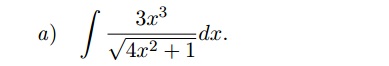
    Carlos
    el 16/8/16

    Holaaa, me ayudan con esta es una integral por partes pero no se cual seria mi u ni mi dv si ambas son algebraicas para aplicarle ilate :(

    replythumb_up0 voto/sflag
    icon

    Axel Morales Piñón.
    el 16/8/16

    Te ayudamos Carlos

    thumb_up4 voto/sflag
    icon

    Carlos
    el 16/8/16

    Muchas gracias! pero se podía haber hecho de otra manera?

    thumb_up0 voto/sflag
    icon

    Axel Morales Piñón.
    el 16/8/16

    Claro, por sustitución trigonométrica:-)

    thumb_up2 voto/sflag