Una partícula, que tiene P(0)=2 y que salta en la recta real con el comportamiento P(t+1) = Pt^2 - 5Pt + 6, hallar el límite cuando t (tiempo) tiende a infinito
No tengo idea de como solucionarlo, saqué ceros de la cuadrática y me dan Pt=2 y cuando Pt=3, en comienzo yo diría que la partícula no se mueve, pero no tengo la forma de explicarlo formalmente.
Muchas gracias!
La integral e^-√x/√x la resuelvo por el método de integracion por partes, pero me queda al final como resultado e^-√x . 2 . - e^-√x
lo cual segun una calculadora de integrales online es erroneo ya que le da -2 . e^-√x
el tema es, el método que use yo es el mas adecuado o hay otro mejor?

Prueba con el método de sustitucíón (o cambio de variable):
w = V(x), de donde tienes: dw = 1/(2V(x)) * dx, y haciendo pasaje de divisor como factor tienes: 2dw = 1/V(x) * dx
luego sustiuyes y la integral queda:
I = Integral (e^(-w))*2dw^) = 2 * Integral (e^(-w)*dw) = 2 * (-e^(-w)) + C = -2 * e^(-w) + C = -2 * e^(-V(x)) + C.
Espero haberte ayudado.
La integral e^-√x/√x la resuelvo por el método de integracion por partes, pero me queda al final como resultado e^-√x . 2 . - e^-√x
lo cual segun una calculadora de integrales online es erroneo ya que le da -2 . e^-√x
el tema es, el método que use yo es el mas adecuado o hay otro mejor?
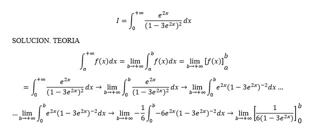
Cual es el mejor método par integrar esta funcion, porque vi que algunos la separan y las suman y no entiendo como es el proceso. Yo habia probado de pasar lo de abajo arriba con exponenete negativo y hacer el binomio pero se me hizo un lio tremendo: e^2x/(1-3e^2x)^2
Integral impropia de primera clase, entre cero e infinito. (cero abajo, infinito arriba).

Puedes aplicar la sustitución (o cambio de variable):
w = 1 - 3e^(2x), de la que tienes: dw = -6e^(2x)*dx, y de aquí despejas y queda: -dw/6 = e^(2x)*dx
Luego sustituimos, extraemos factores numéricos, y la integral queda:
I = (-1/6)*Integral (1/w^2)*dw = 1/(6w) + C = 1/(6(1 - 3e^(2x)) + C.
Espero haberte ayudado.
¿Cómo indico en un intervalo que solo se cogen los Naturales?
Pienso dos cosas:
(E significa pertenece y N naturales)
1) x E N(0,50)
2) x E N E (0,50)

Una forma puede ser:
"x pertenece al conjunto de los números naturales", que se escribe x E N (tal como pusiste).
"x pertenece al intervalo (0,50)", que se escribe x E (0,50) (tal como pusiste).
Ahora, para indicar que x cumple con ambas condiciones, indicamos:
x E N ^ x E (0,50) (donde ^ indica conjunción lógica)
o también indicamos:
x E (N intersección (0,50)) (observa que debes escribir el símbolo de intersección entre conjuntos).
Espero haberte ayudado.
Buenas tardes, me encuentro resolviendo problemas de álgebra y venía bien hasta el problema adjunto, No logro encontrar el error, y quisiera saber si me pueden ayudar! Muchisimas gracias y que tengan un buen día!!!

El número complejo es z = -3 - 3i, y observa en un gráfico cartesiano, que el punto representativo pertenece al tercer cuadrante, por lo que el argumento debe tomar un valor comprendido entre 180° y 270°.
Las calculadoras, al darnos valores de la función arcotangente, nos dan un ángulo, que según sea el cuadrante al que pertenece el punto representativo, puede requerir corrección:
Para el primer cuadrante: la respuesta de la calculadora es directa.
Para el segundo cuadrante: a la respuesta de la calculadora hay que sumarle 180° .
Para el tercer cuadrante: a la respuesta de la calculadora hay que sumarle 180° (este es tu caso, el argumento de z será 45° + 180° = 225°).
Para el cuarto cuadrante: a la respuesta de la calculadora hay que sumarle 360°.
En tu trabajo:
has calculado bien el módulo del complejo: |z| = V(18)
te faltó corregir el argumento, como ya hemos indicado.
Has planteado bien el módulo de las raíces.
Los argumentos de las raíces siguen la ley de formación: (225° + k*360°)/4, con k = 0, 1, 2, 3.
Siempre es conveniente hacer una representación gráfica cartesiana para ubicar el cuadrante.
Espero haberte ayudado.
hola!
Quisiera preguntaros si dado el programa de optimización,
Minimizar x²+2y
con la restricción,
x+y=1
puede resolverse aplicando el método de eliminación de variables y da como resultado que el punto (1,0) es un mínimo local del problema.
otra cosa no se me ocurre...
muchas gracias unicoos.

Es correcto tu planteo: se puede hacer por eliminación de variables, y el punto crítico (o singular) es (1,0), y la función presenta un mínimo en dicho punto.
Observa que la restricción, si la representas gráficamente, es una recta, por lo que no se trata de una curva cerrada, por lo que tenemos, en este caso, solamente un mínimo absoluto.
A partir de la restricción tenemos: y = 1 - x,
reemplazamos en la expresión, y nos queda:
f(x) = x^2 + 2(1 - x), que al distribuir en el segundo término queda:
f(x) = x^2 + 2 - 2x
sus derivada primera queda:
f ' (x) = 2x - 2, que nos conduce al valor crítico (o singular) x = 1, a quién corresponde: y = f(1) = 1^2 + 2(1 - 1) = 1, tal como has diccho.
Ahora, si planteamos la derivada segunda queda:
f '' (x) = 2 > 0 para todo valor de x, por lo que tenemos que la gráfica es cóncava hacia arriba en todo punto, por lo que nuestro punto crítico resulta seer un mímimo absoluto.
Otra manera de visualizar que hemos encontrado un mínimo absoluto, es graficar la función obtenida al eliminar la variable y. Verás que se trata de una parábola, que presenta un mínimo justo en su vértice.
Espero haberte ayudado.
Hola, alguien me ayudaria con el ejercicio 1, 3 y 4? Como se expresa el plano XY? Gracias por su tiempo!!

1)
Observa que I es una función que es a su vez producto de la función q por la función p, y su expresión es: I = qp
Luego, su derivada con respecto al tiempo queda (a partir de la derivada de un producto):
I ' = q' * p + q * p'
En el enunciado tenemos: q' = +0,04, p' = +0,02 (observa que nos dicen que precio y cantidad aumentan, y nos dan los porcentajes).
Luego, la razón de cambio nos queda:
I ' = 0,04p + 0,02q.
3)
Observa que para cualquier punto de R^3 que pertenezca al plano xy, se cumple que su tercera coordenada (cota) es cero, por lo tanto todos los puntos del plano xy comparten esta característica, para cualquier valor de la primera coordenada (abscisa) o de la segunda coordenada (ordenada), por lo tanto la ecuación cartesiana del plano xy queda:
z = 0 (observa que al no figurar x e y, éstas quedan libres y pueden tomar cualquier valor real).
Luego, para los puntos que tienen plano tangente paralelo al plano xy (o sea "horizontal") tenemos que las dos derivadas parciales son iguales a cero, ya que se trata de puntos estacionarios, o sea tenemos: fx = 0, fy = 0.
Luego, debes tener en cuenta la ecuación general para el plano tangente a la superficie gráfica de una función diferenciable de dos variables en uno de sus puntos (lo representamos con coordenadas (xo , yo), y para él la función toma el valor f(xo , yo)), que tiene la forma:
z = f(xo , yo) + fx(xo , yo)(x - xo) + fy(xo , yo)(y - yo)
Pero como nos piden plano tangente paralelo al plano xy, se trata del plano tangente en un punto estacionario y las dos derivadas parciales evaluadas en el punto son iguales a cero, por lo tanto la ecuación del plano tangente queda:
z = f(xo , yo) + 0(x - xo) + 0(y - yo), luego cancelamos términos nulos y queda:
z = f(xo , yo)
Solo se trata de encontrar entonces los puntos para los que se anulan las dos derivadas parciales. Tenemos a partir de la ecuación de la superficie S:
z = 2x^2 - 4xy + y^4 (está borroso en la foto el signo entre los dos términos)
Las derivadas parciales quedan:
fx = 4x - 4y, fy = -4x + 4y^3
luego igualamos ambas derivadas a cero y queda el sistema de dos ecuaciones con dos incógnitas:
4x - 4y = 0
-4x + 4y^3 = 0
Si lo resuelves, obtiennes tres soluciones:
punto A(0,0), al que le corresponde: f(0,0) = 0, y la ecuación de su plano tangente: z = 0
punto B(1,1), al que le corresponde: f(1,1) = -1, y la ecuación de su plano tangente: z = -1
punto C(-1,-1), al que le corresponde: f(-1,-1) = -1, y la ecuación de su plano tangente: z = -1
4a)
Observa que la función (f) es diferenciable, y que la condición está definida mediante una expresión que también corresponde a una función (g) diferenciable.
Vamos con las derivadas parciales:
fx = -2x, fy = -2y, gx = 2(x - 1) = 2x - 2, gy = 2y
Luego, planteamos el sistema de ecuaciones de Lagrange (L es el multiplicador):
-2x = 2L(x - 1), que al cancelar factores queda: -x = L(x - 1)
-2y = 2Ly, que al cancelar factores queda: -y = Ly
Por lo tanto, el sistema de ecuaciones queda:
-x = L(x - 1)
-y = Ly hacemos pasaje de término y queda: -y - Ly = 0, factorizamos y queda: -y(1 + L) = 0
(x - 1)^2 + y^2 = 1
Observa que a partir de la segunda ecuación se nos presentan dos opciones: a) L = -1, b) y = 0, que debemos estudiar por separado.
a) L = -1, sustituimos en las demás ecuaciones (en realidad solo en la primera) y el sistema queda:
-x = -1(x - 1) distribuimos y queda: -x = -x + 1, cancelamos términos y queda: 0 = 1, que es una igualdad absurda
(x - 1)^2 + y^2 = 1
por lo tanto tenemos que a partir de esta opción no tenemos puntos críticos.
b) y = 0, sustituimos en las demás ecuaciones (en realidad solo en la segunda) y el sistema queda:
-x = L(x - 1)
(x - 1)^2 + 0^2 = 1 cancelamos el término nulo y queda: (x - 1)^2 = 1, que nos lleva a otras dos opciones: b1) x = 2, b2) x = 0, que debemos estudiar por separado con la primera ecuación:
b1) x = 2, que nos lleva al punto P1(2,0), y el valor de la función para él es: f(2,0) = 5
luego, reemplazamos en la primera ecuación y queda:
-2 = L(2 - 1), resolvemos y queda: L = -2
b2) x = 0, que nos lleva al punto P2(0,0), y el valor de la función para él es: f(0,0) = 9
luego, reemplazamos en la primera ecuación y queda:
-0 = L(0 - 1), cancelamos términos nulos y queda: 0 = -L, despejamos y llegamos a: L = 0.
Observa que se cumplen todas las condiciones para aplicar el Método de los Multiplicadores de Lagrange, por lo que tenemos seguridad que la función alcanza Máximo Absoluto (en este caso en el punto P2(0,0)), y también mínimo Absoluto (en este caso en el punto P1(2,0)).
4b)
Debes tener en cuenta el siguiente Teorema:
Si una función es continua en un dominio cerrado y acotado, entonces la función alcanza Máximo Absoluto y mínimo Absoluto en dicho dominio.
Observa que la región R (dominio) es un disco circular cerrado (porque incluye a su frontera), con centro C(1,0) y radio R = V(1) = 1, y
observa también que la función es continua en todo R^2 y, por lo tanto, es continua en toda la región R,
por lo que se cumplen las condiciones del teorema que hemos enunciado.
Espero haberte ayudado.