Buenos días. Periodicidad de función. 3ºESO.
Por favor indicarme si el método que uso para hallar el valor de un f(x) dado es correcto, o existe otra manera más “matemática/ortodoxa” de hacerlo.
La teoría dice “Si f es periódica de periodo T, entonces f(x) = f(x + T) = f(x + 2T)....."
En la imagen de función que adjunto, de periodo T = 5 (como veréis) me piden hallar f(23), f(1342) y f(-7).
Para hallar f(23) he dividido 23/5 y me da 3 de resto, por lo que digo que f(23) = f(3 + 4T). → Si hallo f(3) creo que también tengo (23)
Del mismo modo para f(1342) → f(1342) = f(2 + 268T) → f(2) = f(1342)
Para f(-7) me parece un poco diferente: f(-7) = f(7), pues partiendo del origen ambos son simétricos.
Saludos tengo problemas con este límite si lo realizó de esta manera se simplifica todo y tengo como resultado un valor real ...si cálculo límites laterales también ocurre lo mismo ...pero mi problema está en que la expresión del inicio no está definida lateralmente en -3 aunque si lo está la expresión después de simplificar??
Entonces mi duda es que estoy entendiendo mal?
Gracias de antemano.

Para saber si el límite existe evalúas la función de la x tendiendo por la izquierda del número, y por la derecha del número, independiente del dominio, puesto que al evaluar los límites no estamos observando en qué pasa en el punto, da igual lo que pase en el punto, lo que importa es que pasa en un entorno de ese punto. A la hora de evaluar continuidad es determinante el dominio, pero para saber si el límite existe, es necesario que se cumpla que el lim de x tendiendo a "a" por la derecha sea igual al limite tendiendo a "a" por la izquierda.
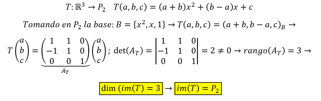
T: R3 --> P2 dado por T(a, b, c) = (a +b)x2 + (b-a)x + c
a) Hallar el Núcleo de T
b) Hallar la dimensión de la Imagen de T

Puedes designar con x a la longitud total del recorrido, luego, observa que tienes a este recorrido dividido entres partes, por lo que puedes plantear la ecuación:
x = (3/7)x + (4/35)x + 32, reduces términos semejantes en el segundo miembro, y queda:
x = (19/35)x + 32, restas (19/35)x en ambos miembros, y queda:
(16/35)x = 32, multiplicas por (35/16 en ambos miembros, y queda:
x = 70 Km.
Luego, en la primera parte recorrió:
(3/7)x = (3/7)*70 = 30 Km.
Luego, en la segunda parte recorrió:
(4/35)*70 = 8 Km.
Luego, tienes que en la tercera parte recorrió 32 Km, por lo que la fracción de recorrido correspondiente queda expresada:
(32/70) = (16/35).
Espero haberte ayudado.

Puedes designar con x a la cantidad total de alumnos, de los cuales:
(1/4)x cursa 1° año,
(1/6)x cursa 2° año,
(5/16)x cursa 3° año;
y observa que la cantidad total de alumnos que cursan 1°, 2° o 3° año queda expresada:
(1/4)x + (1/6)x + (5/16)x = (35/48)x,
por lo que tienes que la cantidad de alumnos que cursan otros años queda expresada:
x - (35/48)x = (13/48)x,
por lo que la fracción que les corresponde es: 13/48.
Como tienes la cantidad de alumnos que cursa 1° año, puedes plantear la ecuación:
(1/4)x = 200, multiplicas por 4 en ambos miembros, y queda:
x = 800, que es la cantidad total de alumnos que concurren al instituto.
Espero haberte ayudado.