Foro de preguntas y respuestas de Matemáticas

logo beUnicoos
Los foros de unicoos se han unificado en nuestra nueva plataforma beUnicoos. Para dejar nuevas preguntas deberás hacerlo allí, donde además podrás encontrar nuevas asignaturas y herramientas para ayudarte más con tus estudios.

  • icon

    JOSE ANTONIO
    el 7/8/19

    Hola. Por favor confirmarme, y en su caso corregir el dominio y rango de la función del ejercicio. No estoy seguro de que este bien. Muchas gracias.


    replythumb_up0 voto/sflag
    icon

    César
    el 7/8/19

    Dominio correcto

    Rango  (0,15)

    thumb_up1 voto/sflag
    icon

    JOSE ANTONIO
    el 7/8/19

    Gracias Cesar.

    thumb_up0 voto/sflag
  • icon

    Marina
    el 7/8/19

    Hola, alguien podría ayudarme a resolver estos apartados? 

    El enunciado me pide: Descompón factorialmente los siguientes polinomios. 

    Muchas Gracias.


    replythumb_up0 voto/sflag
  • icon

    Victor Palma Quezada
    el 7/8/19

    Necesito ayuda con este problema, por favorr.


    replythumb_up0 voto/sflag
    icon

    César
    el 7/8/19


    thumb_up0 voto/sflag
  • icon

    Sebastian Quintero
    el 6/8/19

    Respecto a una duda que había planteado sobre la existencia de un límite ,el profesor Antonio comenta algo sobre la no definición de la función pero afirma que el límite no existe.

    No me queda claro del todo...es cuestión de notación??? Es decir no importa que me pidan el límite a 1 yo debo entender que es un límite lateral??


    replythumb_up0 voto/sflag
    icon

    David
    el 14/10/19

    Si la funcion no está definida por la izquierda solo podrás hacer limite lateral por la derecha.

    thumb_up1 voto/sflag
  • icon

    Sebastian Quintero
    el 6/8/19

    Saludos una pregunta sobre continuidad..en muchos libros aparece que una función es continua en su dominio.. pero por ejemplo la raíz cuadrada de x tiene en su dominio al cero pero para ser continua no debería ser continua por derecha y por izquierda??

    O interpreto mal la situación??

    Y de paso pregunto lo siguiente la raíz cuadrada de x es diferenciable en cero???

    La pendiente de la recta tangente en 0 es indefinida o no existe recta tangente?

    La derivabilidad y la existencia de la recta tangente están relacionadas?

    Gracias de antemano por su ayuda.


    replythumb_up0 voto/sflag
    icon

    David
    el 14/10/19

    La raiz de x es continua en (0,oo). Pero no en su dominio, que es [0,oo) 
    Tampoco es derivable en x=0.
    La derivabilidad y la recta tangente están intimamente relacionadas pues la pendiente se obtiene a partir de su derivada. Y si su derivada no existe, no hay pendiente.

    thumb_up1 voto/sflag
  • icon

    Jose
    el 6/8/19

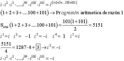
    Yo habia puesto la E porque segun yo se supone que en el denominador el 1 se deberia restar con el otro 1 pero sin embargo hay se suman,porque pasa esto,muchas gracias 

    replythumb_up0 voto/sflag
    icon

    Antonio Silvio Palmitano
    el 6/8/19

    Vamos con una opción, en la que empleamos propiedades de los números complejos y de sus conjugados.

    Tienes el número complejo, expresado en forma cartesiana binómica:

    b = 1 - i (1).

    Luego, planteas la expresión de su inverso multiplicativo, y queda

    b-1 = (1 - i)-1 =

    aplicas la propiedad de las potencias con exponentes negativos, y queda:

    = 1 / (1 - i) =

    multiplicas al numerador y al denominador por la expresión del conjugado del denominador, y queda:

    = 1(1 + i) / (1 - i)(1 + i) =

    distribuyes en el numerador y en el denominador, y queda:

    = (1 + i) / (1 + i - i - i2) =

    cancelas términos opuestos y resuelves el último término en el denominador, y queda:

    = (1 + i) / (1 + 1) =

    resuelves el denominador, y queda:

    = (1 + i) / 2 = 

    distribuyes el denominador, y queda:

    = 1/2 + (1/2)i,

    por lo que puedes concluir que la opción señalada (C) es la respuesta correcta.

    Espero haberte ayudado.

    thumb_up1 voto/sflag
  • icon

    Nicolas
    el 6/8/19

    Halla las edades de una abuela y su nieta sabiendo que hace 10 años la edad de la abuela era 4 veces la edad de la nieta, y dentro de 20 años la edad de la abuela sera solo el doble

    replythumb_up0 voto/sflag
    icon

    César
    el 6/8/19


    thumb_up0 voto/sflag
    icon

    Antonio Silvio Palmitano
    el 6/8/19

    Puedes designar a la edad actual de la abuela con x, y a la edad actual de la nieta con y.

    Luego, tienes la primera proposición: "hace diez años la edad de la abuela era cuatro veces la edad de la nieta",

    por lo que puedes plantear la ecuación:

    x - 10 = 4(y - 10), distribuyes el segundo miembro, y queda

    x - 10 = 4y - 40, sumas 10 en ambos miembros, y queda:

    x = 4y - 30 (1). 

    Luego, tienes la primera proposición: "dentro de veinte años la edad de la abuela será el doble de la edad de la nieta",

    por lo que puedes plantear la ecuación:

    x + 20 = 2(y + 20), distribuyes el segundo miembro, y queda

    x + 20 = 2y + 40, restas 20 en ambos miembros, y queda:

    x = 2y + 20 (2). 

    Luego, igualas las expresiones señaladas (1) (2), y queda:

    4y - 30 = 2y + 20, restas 2y y sumas 30 en ambos miembros, y queda:

    2y = 50, divides por 2 en ambos miembros, y queda:

    y = 25 años;

    luego, reemplazas este valor remarcado en las ecuaciones señaladas (1) (2), las resuelves, y en ambas obtienes el valor:

    x = 70 años.

    Espero haberte ayudado.

    thumb_up0 voto/sflag
  • icon

    VAN
    el 6/8/19

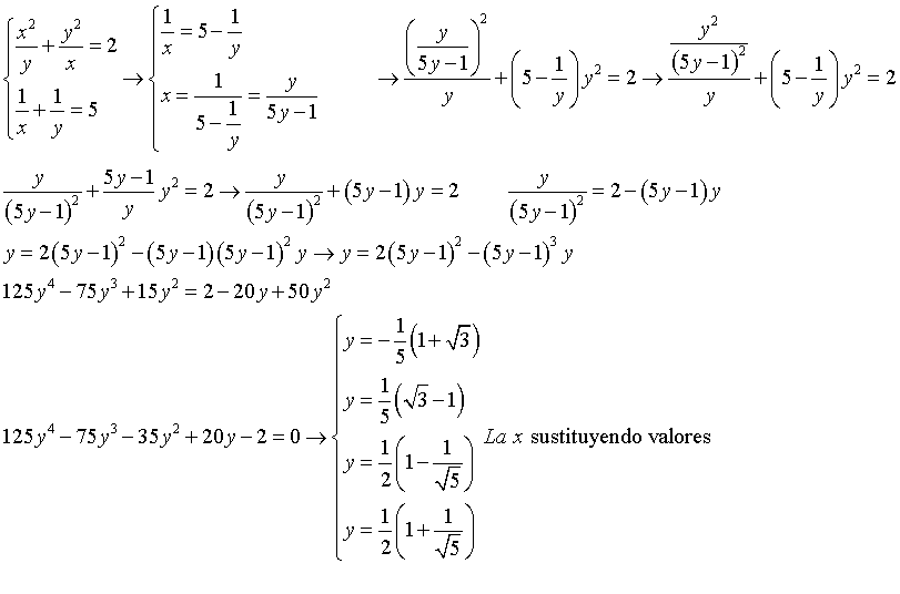
    hola me pueden ayudar con el siguiente sistema de ecuaciones por favor:


     Si:

       x2/y  +  y2/x = 2

       1/x    + 1/y = 5


    ¿Cuánto vale 1/xy?




    replythumb_up0 voto/sflag
    icon

    César
    el 6/8/19

    Opsss no era esto pero a ver si te sirve


    thumb_up0 voto/sflag
  • icon

    Jose
    el 6/8/19

    Como puedo resolver este ejercicio,muchas gracias

    replythumb_up0 voto/sflag
    icon

    César
    el 6/8/19


    thumb_up0 voto/sflag
  • icon

    Jose
    el 6/8/19

    porque la respuesta -4 y no 4 

    porque segun yo es 4.gracias

    replythumb_up0 voto/sflag
    icon

    César
    el 6/8/19



    thumb_up0 voto/sflag