Foro de preguntas y respuestas de Matemáticas

logo beUnicoos
Los foros de unicoos se han unificado en nuestra nueva plataforma beUnicoos. Para dejar nuevas preguntas deberás hacerlo allí, donde además podrás encontrar nuevas asignaturas y herramientas para ayudarte más con tus estudios.

  • icon

    Maria Laura
    el 3/6/16

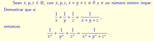
    Hola como están? Alguien me podría ayudar con el ejercicio 1? No entiendo que me pide el ejercicio. Si alguien me podría ayudar se lo agradecería muchisimo .
    muchas gracias
    saludos
    :)

    replythumb_up0 voto/sflag
    icon

    JBalvin
    el 3/6/16

    Creo que lo que te están pidiendo es que halles la forma escalonada reducida de cada una

    thumb_up0 voto/sflag
    icon

    Antonius Benedictus
    el 3/6/16

    Te explicamos en qué consiste, Laura. Inténtalo y nos lo dices:

    thumb_up1 voto/sflag
  • icon

    Axel Morales Piñón.
    el 3/6/16
    flagflag

    ¿Cómo se haría este ejercicio?:c Gracias por la manita

    replythumb_up0 voto/sflag
    icon

    David
    el 6/6/16

    Cada vez que haces una pregunta y no puedo ayudarte me siento culpable, sobre todo porque veo que ayudas mucho a otros unicoos. Lo siento de corazón, pero se me escapan muchas de tus dudas, me estoy oxidando.
    Un abrazo!

    thumb_up1 voto/sflag
    icon

    Axel Morales Piñón.
    el 7/6/16

    Descuida y gracias David, de verdad es un gusto ayudar a otros unicoos:-) y gracias a ti por este gran proyecto, espero algún día conocerte, de verdad, ¡abrazos!

    thumb_up0 voto/sflag
  • icon

    Rodrigo
    el 3/6/16

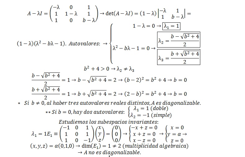
    Hola buenas, quería plantear una duda ya que la anterior se me resolvió muy bien, es sobre un ejercicio de diagonalización de matrices, en el que tengo que hallar valores de una variable para los cuales la matriz sea diagonalizable, el problema viene sobretodo al hacer la matriz menos landa por la identidad ya que no se muy bien sacar los valores de landa, espero que me puedan ayudar, un saludo.

    replythumb_up0 voto/sflag
    icon

    Antonius Benedictus
    el 3/6/16

    Te va el primer apartado, Rodrigo:

    thumb_up1 voto/sflag
    icon

    Rodrigo
    el 4/6/16

    Perfecto, lo que no comprendo muy bien es el porque igualas la solución de lambda dos y landa tres a 1, y por ya preguntar he hecho el apartado b) dándole un valor a b = 3, por lo tanto da tres valores de lambda, se forman las matrices diagonales, y para los vectores propios, la duda que me surge es que si es posible que para los valores de lambda 2 y lambda 3 que son distintos, me salga el mismo vector, el (0,0,0)

    thumb_up0 voto/sflag
  • icon

    Augusto
    el 3/6/16

    Hola buenas. Me gustaría que me ayudéis con este ejercicio de selectividad baleares 2015 set.
    Me pide hallar el valor c que verifica que la pendiente de la recta tangente de f(x) en x=c es minima y que calcule la correspondiente recta tangente de f(x) en x=c.
    El problema es que una vez hallado el punto de inflexion hago una dibujo de ayuda y a mi parecer la tangente al punto c es una recta de pendiente máxima y no mínima.
    Ayudadme porfa que tengo la selectividad en casi nada.
    Disculpad por el enunciado en catalán para los que no lo entendáis.

    replythumb_up0 voto/sflag
    icon

    Antonius Benedictus
    el 3/6/16

    No hay que disculparse, Elide. El catalán es una lengua hermana y española.
    Te enviamos también un enlace que te puede interesar:
    http://iesayala.com/selectividadmatematicas/

    thumb_up1 voto/sflag
    icon

    Augusto
    el 3/6/16

    Vaya crack Antonio!

    thumb_up0 voto/sflag
  • icon

    Nimagai
    el 3/6/16

    Hola, tengo una duda en cuanto al cálculo de la razón de semejanza.
    Sé que r=p/p'=a/a'=b/b'...
    Lo que no logro entender es el número que tengo que poner en el numerador o el denominador. Por ejemplo: si la razón de semejanza de dos triángulos semejantes es de 5/2 y el perímetro del menor es de 13 cm, ¿cuál es el perímetro del mayor?
    5/2=p/13. Por tanto, p= 32,5
    Pero, ¿cómo sé que el 13 va en el denominador y no en el numerador? Cuando tenga que expresar el mayor, va en el numerador, y el menor se refiere al denominador. Hasta ahí bien.
    Pero en el siguiente ejemplo no sé si se cumple exactamente:
    El perímetro de un triángulo es 15cm y los lados de un triángulo semejante 4'5; 6'4 y 7'1. ¿Cuál es su razón de semejanza?
    r= p/p'
    r= 15/(4'5+6'4+7'1)= 15/18 = 5/6
    ¿Ahora por qué no se pone el 18 en el numerador si es el mayor?
    Muchas gracias!

    replythumb_up0 voto/sflag
    icon

    César
    el 3/6/16

    A ver si este video te ayuda
    https://www.youtube.com/watch?v=4URUbddxX7w

    thumb_up0 voto/sflag
  • icon

    Nimagai
    el 3/6/16

    Hola, si planteo otra duda después de la respuesta dada en el foro en el mismo comentario, es decir, al darle a "comentar esta pregunta", se me responde o tengo que ponerla como otra pregunta nueva en otro comentario?
    Gracias, aunque no tenga que ver con matemáticas ;)

    replythumb_up0 voto/sflag
    icon

    César
    el 3/6/16

    dentro de la misma pregunta puedes añadir comentarios Nimagai

    thumb_up1 voto/sflag
    icon

    JBalvin
    el 3/6/16

    Se puede hacer preguntas como comentarios de otra que ya has hecho (si tiene relación con la anterior), pero es preferible que lo hagas como una nueva (ya que es mas fácil para que alguien la pueda ver)

    thumb_up1 voto/sflag
  • icon

    Silvana
    el 3/6/16

    Hola, por favor ayuda con este ejecicio, solo explicandome y yo sigo los calculos, es solo las formulas que tengo que usar, graciass

    replythumb_up0 voto/sflag
    icon

    Nimagai
    el 3/6/16

    Creo que se hace con una progresión aritmética. Una progresión aritmética es una sucesión en la que cada término es la suma del anterior más un número fijo llamado "diferencia de la progresión". Así:
    A1= 1 (un poste)
    A2= A1 + d (d es la diferencia de la progresión)
    A3= A1 + 2d
    A4= A1 + 3d
    Por lo tanto, deducimos: An= n· A1 + (n-1)· d
    Creo que si te pide el número de postes y travesaños por separado podrías poner:
    A1=1
    A2= 2·A1 + d
    A3= 3·A1 + 2d
    Siendo el número que multiplica a A1 los postes y "d" los travesaños

    thumb_up1 voto/sflag
  • icon

    Silvana
    el 3/6/16

    ayudaaa por favorr, ¿Cuántos números de seis cifras se pueden escribir en base 2?

    replythumb_up0 voto/sflag
    icon

    César
    el 3/6/16

    Pues creo que serán desde el 000 000 hasta el 111 111
    es decir del 0 al 63

    thumb_up1 voto/sflag
    icon

    ;-D
    el 3/6/16

    Es desde el 2^5=32↔(100 000) hasta el 2^6-1=63↔(111 111). En total 32 números.

    thumb_up1 voto/sflag
  • icon

    Mauricio
    el 3/6/16
    flag

    Hola, tengo una duda, en formulas de logica matematica, vi 2 valores que no conozco bien: y el ↔ cual es la diferencia entre estos 2 símbolos en lógica? osea se que uno de esos es el SI Y SOLO SI pero cual? ayuda por favor me aparecen en muchas formulas que tengo y tengo la duda de esto.

    replythumb_up0 voto/sflag
    icon

    David
    el 3/6/16

    LOGICA ni siquiera se da en MATEMATICAS, al menos antes de la universidad... Por eso, me encantaría ayudarte, pero no respondo dudas universitarias que no tengan que ver específicamente con los videos que ya he grabado como excepcion. Lo siento de corazón… Espero lo entiendas

    thumb_up0 voto/sflag
  • icon

    andres
    el 3/6/16

    Hola, no se donde hacer esta pregunta, así que la haré aquí.
    Porque la pagina de unicoos no funciona en mi teléfono, es decir si la abre pero no puedo realizar ninguna acción, como hacer preguntas o responderlas, es problema de la pagina o es mi teléfono?
    Gracias

    replythumb_up1 voto/sflag
    icon

    David
    el 3/6/16

    Tendrás que registrarte en unicoos y hacer LOG IN desde el telefono...

    thumb_up0 voto/sflag
    icon

    JBalvin
    el 3/6/16

    A mi me pasa lo mismo, creo que tiene un fallo, no se puede realizar casi ninguna acción desde el móvil

    thumb_up0 voto/sflag