una pregunta, he buscado vídeos sobre matemáticas discretas sera que no busco bien o no tienen?? pd: soy nuevo

Es un tema amplisimo, casi una carrera universitaria en sí misma... No sé que necesitas en concreto, algunos vídeos de discretas tenemos..
Por ejemplo combinatoria, probabilidad, estadistica, incluso te vendrían bien los de electronica digital (algebra de boole)...
si tienes dudas con algun ejercicio concreto dejanos una foto y veremos si podemos ayudarte (unicoos se queda en bachiller por ahora).. Un abrazo

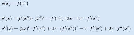
Intentala por partes.. Para empezar saca el 7 de la integral... Y luego u=x²...du=2x.dx.
dv=x.sen(1+x²)dx... v=(-1/2)cos(1+x²).. nos cuentas despues ¿ok?
Echale un vistazo... Integral por partes 01
Hola, por favor ayuda con este ejecicio, solo explicandome y yo sigo los calculos, es solo las formulas que tengo que usar, graciass

1,3,6,9...Es una progresion aritmetica con a1=1 y d=3....
Progresiones aritméticas
Nos cuentas despues ¿ok?
Hola, me ayudan con este ejercicio?
Determinar la ecuación de la elipse centrada en (-1, 2) , cuyo eje mayor mide 26 unidades y tiene excentricidad 5/13.
Obtuve que a=13, b=12 y c=5 pero no sé cómo seguir ni si estoy haciéndolo bien. Gracias.

Echale un vistazo.. Asintotas
Pero sobre todo a este... Estudio completo de una funcion racional
A partir de ahí, se trata de que DESPUES DE IR A CLASE (ver los vídeos relacionados con vuestras dudas) enviéis dudas concretas, muy concretas. Y que nos enviéis también todo aquello que hayais conseguido hacer por vosotros mismos. Paso a paso, esté bien o mal. No solo el enunciado. De esa manera podremos saber vuestro nivel, en que podemos ayudaros, cuales son vuestros fallos.... Y el trabajo duro será el vuestro. #nosvemosenclase Nos cuentas ¿ok?