Foro de preguntas y respuestas de Matemáticas

logo beUnicoos
Los foros de unicoos se han unificado en nuestra nueva plataforma beUnicoos. Para dejar nuevas preguntas deberás hacerlo allí, donde además podrás encontrar nuevas asignaturas y herramientas para ayudarte más con tus estudios.

  • icon

    Betsy Norita Huaricapcha De la sota
    el 7/5/16
    flag

    Hola. me pueden ayudar con este ejercicio, me pide hallar el limite

    replythumb_up0 voto/sflag
  • icon

    Tefii Castellani
    el 7/5/16
    flagflag

    Hola!! Queria saber si alguien sabe como hallar α y n usando la serie de Taylor.

    replythumb_up0 voto/sflag
    icon

    Antonius Benedictus
    el 7/5/16

    Te explicamos, tefii:

    thumb_up1 voto/sflag
    icon

    Tefii Castellani
    el 17/5/16

    Muchas gracias!!

    thumb_up0 voto/sflag
  • icon

    Gaussiano
    el 6/5/16

    Hoola! ¿Me echan una mano con este ejercicio de optimización? Gracias

    replythumb_up0 voto/sflag
    icon

    Luis Cano
    el 7/5/16

    Sea P el perímetro, entonces:
    P=2x+2y=100→2y=100-2x→y=50-x
    El área de un rombo se sabe que es:
    A=(xy)/2
    Sustituimos "y" en la segunda ecuacion:
    A=[x(50-x)]/2→A=(50x-x²)/2
    Derivamos:
    A'=(50-2x)/2→A'=25-x
    Igualamos a 0 para hallar los puntos críticos:
    25-x=0→x=25
    Sustituimos x=25 en la ecuacion del perímetro y tenemos que y=25.
    Por tanto el lado del rombo lo encontramos con Pitágoras obteniendo que L=√(25²+25²)=√(25²*2)=5√2

    Ojala y te sirva :)

    thumb_up1 voto/sflag
    icon

    Luis Cano
    el 7/5/16

    Me base en la siguiente figura para hacer el planteamiento de mis ecuaciones.

    thumb_up1 voto/sflag
  • icon

    Matias
    el 6/5/16

    Unicoos! me dan una mano con este despeje? creo que lo hice mal, porque luego como dejo la x traspuesta sola? Gracias!!

    replythumb_up0 voto/sflag
    icon

    Antonius Benedictus
    el 7/5/16

    Lo tienes bien, Matías. te queda un sistema homogéneo.
    Si det(I-A)=0. entonces x^t =(0,0,0)
    Si det(A-I)≠0. hay infinitas soluciones para x^t (resuelve por Gauss el sistema lineal que resulta)

    thumb_up0 voto/sflag
  • icon

    Santiago Ledesma
    el 6/5/16

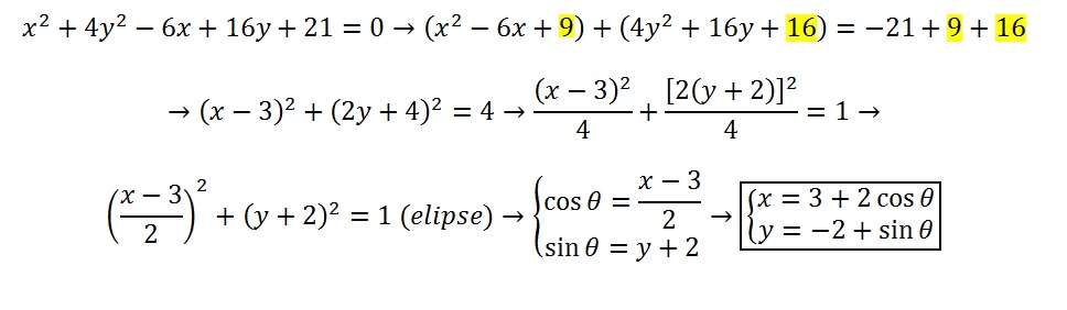
    Necesito pasar esta ecuación x²+4y²-6x+16y+21=0 a coordenadas polares, el problema surge cuando al reemplazar x² me queda r²cos²θ, es decir, no logro terminar de simplificar para llegar a una ecuación polar del tipo r=cos²θ por ejemplo.

    replythumb_up0 voto/sflag
    icon

    Antonius Benedictus
    el 6/5/16

    Te ayudamos, Santiago:

    thumb_up1 voto/sflag
    icon

    Santiago Ledesma
    el 6/5/16

    El resultado quedó en forma paramétrica verdad? Cómo hago para llevarlo a coordenadas polares? Necesito graficar en polares la ecuación, gracias.

    thumb_up0 voto/sflag
  • icon

    Chico Archi
    el 6/5/16

    hola, he visto el video de la varianza y con la formula que ustedes usan ya he llegado al resultado, pero con la formula que me ponen en la plataforma donde estudio no llego ¿me pueden ayudar a saber que estoy haciendo mal?

    replythumb_up0 voto/sflag
    icon

    David
    el 8/5/16

    Lo siento pero no puedo ayudarte con tu formula, que ni siquiera sé si es correcta... Es posible que todo lo que hagas esté bien , pero esa formula no sea la adecuada...

    thumb_up0 voto/sflag
  • icon

    ABH
    el 6/5/16

    Hola buenas tardes:
    Me podrían ayudar por favor con este ejercicio:
    - Supongamos que 0< a< b< c. Demuestra que la ecuación f’(x)=0 tiene, exactamente, tres raíces reales y distintas, siendo f(x) el polinomio de grado 4: x·(x-a)·(x-b)·(x-c).Hay que razonar por qué hay tres y por qué no hay más
    Muchas gracias de antemano

    replythumb_up0 voto/sflag
    icon

    Antonius Benedictus
    el 6/5/16

    Vamos, ABH:

    thumb_up1 voto/sflag
    icon

    ABH
    el 6/5/16

    Muchísimas gracias

    thumb_up0 voto/sflag
  • icon

    Robin Chavez
    el 6/5/16

    Una consulta amigos como deberia abordar este ejercicio gracias de antemano :D.

    replythumb_up0 voto/sflag
    icon

    Antonius Benedictus
    el 6/5/16

    ¿Puedes poner foto del enunciado original, Robin?




    thumb_up0 voto/sflag
    icon

    Gaussiano
    el 7/5/16

    Esa es una integral definida, tienes que integrar primero (creo que tienes que aplicar la integración por partes) y luego sustituyes los valores. Adjunta el enunciado.

    thumb_up0 voto/sflag
  • icon

    Deidara Stick.
    el 6/5/16

    Hello unicos, me podrían ayudar, me complico con las series númericas. Es posible hallar la suma de los n primeros números pares de la sucesión de Fibonacci. Y la suma de los cubos de los n primeros números naturales impares de la sucesión de Fibonacci. ¿Se puede aplicar en ambos casos series telescopicas?. Desde ya gracias les doy.

    replythumb_up0 voto/sflag
    icon

    David
    el 8/5/16

    No puedo ayudarte más que con un simple enlace a la wikipedia, lo siento... https://es.wikipedia.org/wiki/Sucesi%C3%B3n_de_Fibonacci
    Unicoos, por ahora, se queda en bachiller. Espero lo entiendas...

    thumb_up0 voto/sflag
  • icon

    Sandy Murillo S...
    el 6/5/16

    Hola amigos de unicoos me podrían de favor ayudarme en un problema de límites, no se sí el lí ite existe. Muchas gracias de antemano amigoss unicoos. Les doy mil gracias. Saludos

    replythumb_up0 voto/sflag
    icon

    César
    el 6/5/16

    El primero
    1/x-(1-x)/x=x/x=1 existe el limite siempre
    (x-2)/x-(4+x)/(x²-2x) no tienen lim en x=0
    (x-2)/x-(4+x)/(x²-2x)=(x-5)/(x-2) si existe lim en x=0

    thumb_up0 voto/sflag