Foro de preguntas y respuestas de Matemáticas

logo beUnicoos
Los foros de unicoos se han unificado en nuestra nueva plataforma beUnicoos. Para dejar nuevas preguntas deberás hacerlo allí, donde además podrás encontrar nuevas asignaturas y herramientas para ayudarte más con tus estudios.

  • icon

    Marcos
    el 7/5/16

    Buenas tardes, alguien me podría ayudar con esta función, por favor?
    Me dice que dada esta función, tengo que encontrar los cortes con los ejes.
    El dominio es [-7,5] y el recorrido es [-3,4] pero no sé como llegar a encontrar los cortes si no sé la función.

    replythumb_up0 voto/sflag
    icon

    Antonius Benedictus
    el 7/5/16

    Aparte del origen, solo de forma aproximada.

    thumb_up0 voto/sflag
    icon

    Marcos
    el 7/5/16

    Me podrías explicar un poco más, por favor?

    thumb_up0 voto/sflag
    icon

    lbp_14
    el 7/5/16

    En el eje de las x, es decir (abscisas) tienes que mirar donde corta la línea, es decir la (función) en el eje horizontal y donde corte tienes que ir contando los cuadraditos, en este caso en el eje de abscisas corta en los puntos (-3,0) aproximadamente, en el (-5,65; 0) y en ambos ejes x,y (ordenadas y abscisas) corta en el origen es decir (0,0)

    thumb_up1 voto/sflag
  • icon

    dfghjkl
    el 7/5/16

    CÓMO SÉ A PARTIR DE UNA FIGURA SI ME DAN UNOS CONJUNTOS Y TENGO QUE SABER SI ESTAN FORMADOS POR VECTORES LINEALMENTE INDEPENDIENTES

    replythumb_up0 voto/sflag
    icon

    andres
    el 7/5/16

    si son linealmente independientes creo que no son paralelos, y para que no sean paralelos no se debe cumplir que v.k=u
    Siendo v y u los vectores y k una constante perteneciente a los reales.

    thumb_up0 voto/sflag
  • icon

    Angie Criollo Zuñiga
    el 7/5/16

    Buenas tardes, alguien me podría ayudar con esto por favor?

    replythumb_up0 voto/sflag
    icon

    Antonius Benedictus
    el 7/5/16

    Te ayudamos, Angie:

    thumb_up2 voto/sflag
    icon

    Angie Criollo Zuñiga
    el 7/5/16

    Muchísimas gracias :)

    thumb_up0 voto/sflag
  • icon

    E
    el 7/5/16

    Tengo una duda si me dan un sistema de ecuaciones lineales y me piden qué lo resuelva, cómo sé cuando puedo aplicar el método de Cramer?
    O sea yo sé que Cramer se aplica cuando es SCD pero a simple vista viendo la matriz cómo se sabe si puedes aplicar Cramer o no?

    replythumb_up0 voto/sflag
    icon

    Miquel Martos Doroteo
    el 7/5/16

    También puedes aplicar Cramer con un sistema compatible indeterminado, pero antes, tendrás que eliminar la ecuación que no forme parte del menor que te ha definido el rango de la matriz.
    Siempre puedes aplicar Cramer, teniendo en cuenta esto último que te he dicho.

    thumb_up1 voto/sflag
    icon

    E
    el 7/5/16

    Gracias Miquel :)

    thumb_up1 voto/sflag
    icon

    Fermat
    el 9/5/16

    No desmiento la afirmación de Miquel pero, la condición principal la cual permite resolver un sistema por Cramer es que la matriz de coeficientes sea cuadrada y regular (con det. no nulo).

    thumb_up0 voto/sflag
  • icon

    E
    el 7/5/16

    Hola :) me piden que discuta el sistema de ecuaciones lineales según un parametro que es es m total que hice el determinante y me quedó de grado tres hice Ruffini y después la ecuación de segundo grado para resolver el sistema segun los valores que me ha dado si en Ruffini he dividido por -1 cojo el valor 1 o -1?

    replythumb_up0 voto/sflag
    icon

    Alba
    el 7/5/16

    Tienes que coger el valor 1 , si dividieras entre 1 tendrías que coger el -1

    thumb_up0 voto/sflag
    icon

    E
    el 8/5/16

    Gracias

    thumb_up0 voto/sflag
  • icon

    Alex Domínguez
    el 7/5/16

    Hola, una pregunta, como se en integrales cuando hay que aplicar un método u otro ? Gracias !

    replythumb_up0 voto/sflag
    icon

    Antonius Benedictus
    el 7/5/16

    Álex, esa es la pregunta "del millón". La práctica y la pericia te lo van enseñando.

    thumb_up1 voto/sflag
  • icon

    ignacio
    el 7/5/16

    hola tengo una pregunta.
    ¿alguien me puede explicar como reconocer en una función si es inyectiva o no?

    replythumb_up0 voto/sflag
    icon

    Antonius Benedictus
    el 7/5/16

    Dos valores distintos de x no puede dar lugar al mismo valor de y.
    Gráficamente: la curva no puede cortar en más de un punto a ninguna recta horizontal.

    thumb_up1 voto/sflag
    icon

    ignacio
    el 7/5/16

    gracias me has ayudado mucho por que tengo examen el lunes y no lo enyendia

    thumb_up0 voto/sflag
  • icon

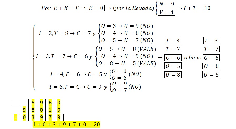
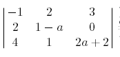
    dfghjkl
    el 7/5/16

    Tengo este sistema y me piden que calcule para que parametros de tiene una sola solución y qué solución es esta. (el sistema es homogeneo)
    Para que el sistema sea con una sola solución tiene que ser SCD ASÍ QUE CALCULÉ EL DETERMINANTE Y LA A ME DIO -4 Y 2 CUANDO A SEA DIFERENTE DE ESOS VALORES EL RANGO DE LA MATRIZ SERÁ 3 pero aún no sé porque no he acabado.
    Me pone en el solucionario que la solicion del sistema de ecuaciones es trivial y yo no entender

    replythumb_up0 voto/sflag
    icon

    Antonius Benedictus
    el 7/5/16

    Si el determinante es -4≠0,∀a∈R, esto significa que el sistema es compatible determinado, sea cual fuere el valor del parámetro a.
    Como el sistema es homogéneo, la solución ÚNICA ha de ser, a fortiori, la solución trivial (id est, x=0, y=0, z=0)
    Espero que ahora tú entender.

    thumb_up0 voto/sflag
  • icon

    dfghjkl
    el 7/5/16

    Qué quiere decir que la solución de un sistema de ecuaciones es trivial?

    replythumb_up0 voto/sflag
    icon

    Antonius Benedictus
    el 7/5/16

    La solucón trivial (de un sistema homogéneo) es aquélla en la que todas las incógnitas valen 0.

    thumb_up0 voto/sflag
  • icon

    Sonia
    el 7/5/16

    Hola!! Me podríais ayudar con este ejercicio por favor? El numero de días de permanencia de los enfermos de un hospital sigue una ley normal de media desconocida y desviación típica 3 días.
    a) Determina un intervalo de confianza para la media,a un nivel del 97% con una muestra aleatoria de 100 enfermos cuya media de estancia fue de 8,1 días.
    b) ¿Qué tamaño mínimo debe tener una muestra aleatoria para poder estimar la media con un error máximo de 1 día y un nivel de confianza del 90%?

    replythumb_up0 voto/sflag
    icon

    Antonius Benedictus
    el 7/5/16

    Te ayudamos, Sonia:

    thumb_up0 voto/sflag