Foro de preguntas y respuestas de Matemáticas

logo beUnicoos
Los foros de unicoos se han unificado en nuestra nueva plataforma beUnicoos. Para dejar nuevas preguntas deberás hacerlo allí, donde además podrás encontrar nuevas asignaturas y herramientas para ayudarte más con tus estudios.

  • icon

    Raquel No Lo Se
    el 29/4/16
    flag

    Hola! tengo esta función que me trae de cabeza. es la numero 7. ¿Alguien me puede ayudar, por favor? Gracias

    replythumb_up0 voto/sflag
    icon

    Miguel Fuego
    el 29/4/16

    Aplica L'Hôpital 3 veces y la indeterminación desaparecerá, seguro.

    thumb_up0 voto/sflag
    icon

    mikel
    el 29/4/16

    Va resuelto sin L´Hopital
    Saludos

    thumb_up0 voto/sflag
  • icon

    Paqui
    el 29/4/16

    Hola! Al resolver el rango de matrices por Gauss ¿se puede multiplicar una fila por una fracción, es decir, dividir? Muchas gracias! :)

    replythumb_up0 voto/sflag
    icon

    Antonius Benedictus
    el 29/4/16

    Sí, se puede.

    thumb_up1 voto/sflag
  • icon

    Lily
    el 29/4/16

    Buenos días. Quisiera saber si mi resultado de este ejercicio de puntos de corte con los ejes es correcto. Dudo porque no sé si el mayor o igual que influye en algo.



    Función : f(x)=5/x^2-6x+10
    x(> o =) 0

    Mi resultado: punto corte x = (5,0) punto corte y=(0, 0.5)

    replythumb_up0 voto/sflag
    icon

    Antonius Benedictus
    el 29/4/16

    Con el eje OX no hay punto de corte, pues, si y=0, la ecuación f(x)=0 NO TIENE SOLUCIÓN. Recuerda que una fracción vale 0 solo cuando el numerador vale 0, que no es el caso.

    thumb_up0 voto/sflag
  • icon

    Bryan
    el 29/4/16
    flag

    Hola necesito ayuda por favor, es de ecuaciones exponenciales y no sé qué hacer y es la siguiente ecuación: 3^x=9x.
    y la respuesta es x=3... Gracias por su atención prestada ojala me puedan ayudar y de igual forma gracias otravez.

    replythumb_up0 voto/sflag
    icon

    Pablo
    el 29/4/16

    Wow, busque en google tu consulta y resultó no ser tan fácil, posee 2 soluciones reales, una de las cuales es 3 (vaya descubrimiento) y la otra se debe obtener numéricamente.
    http://math.stackexchange.com/questions/101274/how-do-i-solve-this-analytically-3x-9x
    No le veo otra solución

    thumb_up0 voto/sflag
    icon

    David
    el 30/4/16

    ¿¿?? ¿La copiaste bien ? ¿no será 3^x=9^x?

    thumb_up0 voto/sflag
  • icon

    Cesar
    el 29/4/16
    flag

    Cordial saludo, me harían el favor de indicarme como proceder a resolver el ejercicio de la imagen anexa?, ya que en mis calculos da 32, pero la respuesta del libro es 16

    replythumb_up0 voto/sflag
    icon

    David
    el 29/4/16

    Si nos enviás tus calculos paso a paso podremos corregirtelo.. No puedo ayudarte mucho más, tu duda es universitaria y no dices, además que te piden...

    thumb_up0 voto/sflag

    Usuario eliminado
    el 29/4/16

    El volumen da 32, Cesar. Es una errata. Un saludo.

    thumb_up0 voto/sflag
  • icon

    matias
    el 29/4/16
    flagflag

    Hola unicooos! Me ayudarian con el 26 y 27?? Me estan haciendo poner bastante de mal humor estos ejercicios.

    replythumb_up0 voto/sflag
    icon

    David
    el 29/4/16

    Me encantaría ayudarte, pero no respondo dudas universitarias que no tengan que ver específicamente con los videos que ya he grabado como excepcion. Lo siento de corazón… Espero lo entiendas

    thumb_up0 voto/sflag
    icon

    César
    el 29/4/16

    Va Matias

    thumb_up0 voto/sflag
    icon

    César
    el 29/4/16

    y analiticamente

    thumb_up0 voto/sflag
  • icon

    bel
    el 29/4/16
    flagflag

    hola unicoos! me podrían ayudar con este ejercicio por favor
    necesito determinar las 2 posibles direcciones de la bala.

    desde ya muchas gracias

    replythumb_up0 voto/sflag
    icon

    David
    el 29/4/16

    Me encantaría ayudarte, pero no respondo dudas universitarias que no tengan que ver específicamente con los videos que ya he grabado como excepcion. Lo siento de corazón… Espero lo entiendas

    thumb_up0 voto/sflag
  • icon

    MARI JOSE
    el 29/4/16
    flag

    Hola!!
    Me gustaría que alguien me ayudara a realizar el siguiente problema. Es sobre distribuciones muestrales de matemáticas de 2o de bachiller y el enunciado es el siguiente:

    Una variable aleatoria x se distribuye según una normal de media "m" y desviación típica "o". Sabemos que los cuartiles de la distribución son 10 y 20 respectivamente ¿cuanto vale la media y la desviación típica?

    Llevo un montón de tiempo intentando resoverlo y no soy capaz. Creo que sería un problema típico de selectividad. Me gustaría que me explicaran paso a paso cada una de las operaciones, como se puede ver en los vídeos que su bis.

    Esperando una respuesta, muchas gracias y un saludo

    replythumb_up0 voto/sflag
    icon

    David
    el 29/4/16

    ¿Que cuartiles son 10 y 20? ¿el primero y el tercero? Por otro lado, sin más datos no puedes hacer tu ejercicio...

    thumb_up0 voto/sflag
    icon

    Antonius Benedictus
    el 29/4/16

    A ver si es esto, María José:

    thumb_up0 voto/sflag
    icon

    MARI JOSE
    el 1/5/16

    si perdonar, son los cuartiles 1 y 3. Yo entiendo que es: Q1=10 y Q3=20.

    thumb_up0 voto/sflag
    icon

    MARI JOSE
    el 1/5/16

    creo que ya lo he sacado!!!!! , ¿me podeis decir si está bien???

    thumb_up0 voto/sflag
    icon

    MARI JOSE
    el 2/5/16

    Antonio, muchas gracias!!!, el camino que has seguido para resolver el problema lo he entendido pero me resulta más fácil lo que he hecho yo, si está bien... aunque como ves los resultados coinciden.

    Un saludo.

    thumb_up0 voto/sflag
  • icon

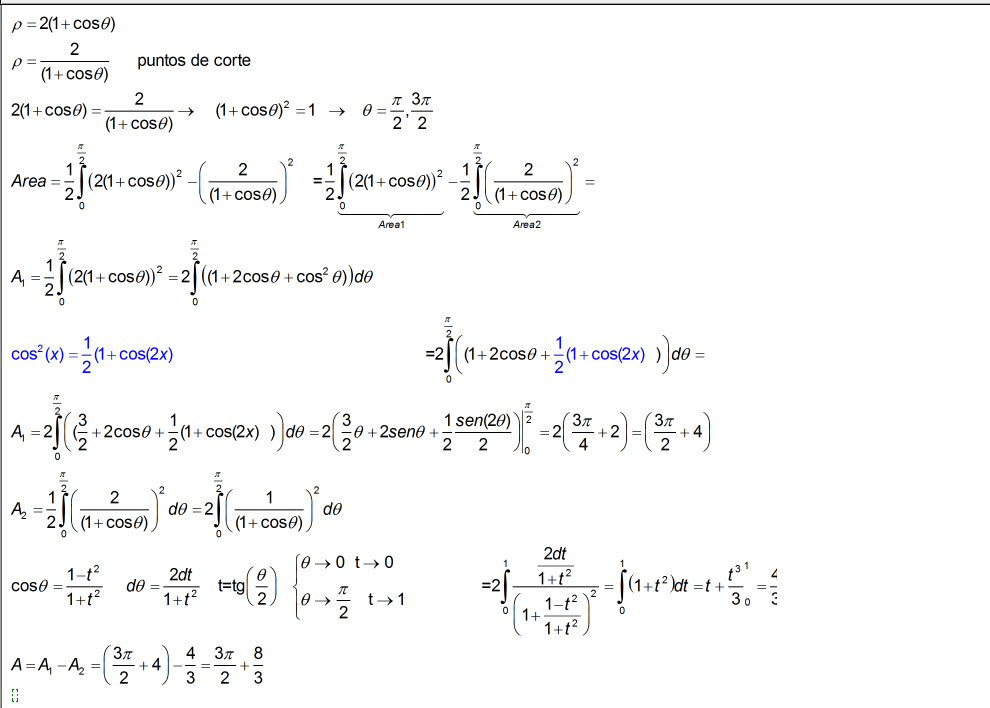
    Ivan
    el 29/4/16

    hola podrian ayudarme con este problema de vectores que no me sale?

    replythumb_up0 voto/sflag
    icon

    matias
    el 29/4/16

    Usa las propiedades de producto escalar y producto vectorial para encontrar una relacion entre las componentes de los vectores y asi armar un sistema de ecuaciones 3x3.

    thumb_up0 voto/sflag
    icon

    Ivan
    el 29/4/16

    pero no entiendo porque haces el producto vectorial de W X V = 0?

    thumb_up0 voto/sflag
    icon

    matias
    el 29/4/16

    Es por que el producto vectorial de dos vectores que son colineales da como resultado el vector nulo, tambien podes pensar que como W // V, entonces son proporcionales y varian en una constante, osea

    k.V=W

    k.(1,-1,1)=(w1,w2,w3)

    (k,-k,k)=(w1,w2,w3)

    Igual es importante saber la deficinion de producto vectorial.
    El modulo del producto vectorial es igual al area del paralelogramo que tiene a dichos vectores por lados, de ahi sale que si son paralelos, el area es 0, y el producto vectorial es 0.

    thumb_up0 voto/sflag
    icon

    Ivan
    el 29/4/16

    gracias matias

    thumb_up0 voto/sflag
  • icon

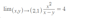
    alexudec
    el 29/4/16
    flagflag

    Hola ! me piden demostrar usando la definición de limite que se cumple lo siguiente. Ayuda por favor !

    replythumb_up0 voto/sflag
    icon

    David
    el 29/4/16

    Me encantaría ayudarte, pero no respondo dudas universitarias que no tengan que ver específicamente con los videos que ya he grabado como excepcion. Lo siento de corazón… Espero lo entiendas

    thumb_up0 voto/sflag
    icon

    Antonius Benedictus
    el 29/4/16

    Vamos a ver si esto te sirve, Alexudec:

    thumb_up0 voto/sflag
    icon

    alexudec
    el 29/4/16

    Muchas gracias por la ayuda !

    thumb_up0 voto/sflag