Foro de preguntas y respuestas de Matemáticas

logo beUnicoos
Los foros de unicoos se han unificado en nuestra nueva plataforma beUnicoos. Para dejar nuevas preguntas deberás hacerlo allí, donde además podrás encontrar nuevas asignaturas y herramientas para ayudarte más con tus estudios.

  • icon

    lara
    el 28/4/16
    flag

    hola pues ni me sale probar esto intente sacar factor comun -1 y la x no se vs y dividi por el conjugado menos , alguien me podria ayudar

    replythumb_up0 voto/sflag
    icon

    Frank Rios
    el 29/4/16

    Espero que te sea de ayuda....

    thumb_up0 voto/sflag
    icon

    David
    el 29/4/16

    Te sugiero estos videos... Expresiones algebraicas

    thumb_up0 voto/sflag
  • icon

    Gaussiano
    el 28/4/16

    Hoola! Me acabo de inventar esa función porque tengo una duda con las integrales definidas (he visto los vídeos que hay sobre el tema), si me piden hallar el área total, sería la integral definida entre dos valores de la parte que está encima del eje x menos (menos o más, le sumo o le resto, ESA ES MI DUDA) la parte sombreada que está debajo del eje x. Gracias!

    replythumb_up0 voto/sflag
    icon

    Alvaro
    el 28/4/16

    Este vídeo te ayudará Integral definida AREA de una funcion

    Pero respondiendo a tu pregunta, si esa es tu duda, solo calculas los valores absolutos de ambas integrales por separado y finalmente las sumas. Saludos

    thumb_up0 voto/sflag
    icon

    Gaussiano
    el 28/4/16

    Sí lo he visto, pero como que no me quedó muy clara la explicación en ese instante preciso

    thumb_up0 voto/sflag
    icon

    Alvaro
    el 28/4/16

    Solo calculas tus integrales y les calculas el valor absoluto en caso de obtener un valor negativo. Recuerda que no pueden existir áreas negativas

    thumb_up1 voto/sflag
  • icon

    Esleyder
    el 28/4/16

    Hola, me podrían decir como hago la gráfica de r=2sen2θ en y el plano z=9-2x-3y?

    Se que debo graficar en polar, y que ese r=2sen2θ es un pétalo esta debajo de z=9-2x-3y, pero no se como dibujar eso la verdad.

    replythumb_up0 voto/sflag
    icon

    Alvaro
    el 28/4/16

    Te ayudo con la gráfica de la rosa

    thumb_up1 voto/sflag
  • icon

    Aixa
    el 28/4/16

    Buenas noches.¿Me pueden ayudar con estos problemas de notación científica?
    El segundo lo he intentado pero me he liado. ¿Me lo pueden explicar?

    replythumb_up0 voto/sflag
    icon

    César
    el 28/4/16

    te lo explicamos Aixa

    thumb_up0 voto/sflag
    icon

    Aixa
    el 28/4/16

    Muchas gracias.Otra pregunta.¿El primer ejercicio está bien resuelto?

    thumb_up0 voto/sflag
  • icon

    Espe
    el 28/4/16

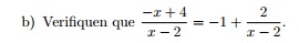
    Hola, buenas tardes, me podriais ayudar con el apartado B de este ejercicio? muchas gracias

    replythumb_up0 voto/sflag
    icon

    César
    el 28/4/16

    Va Espe

    thumb_up1 voto/sflag
  • icon

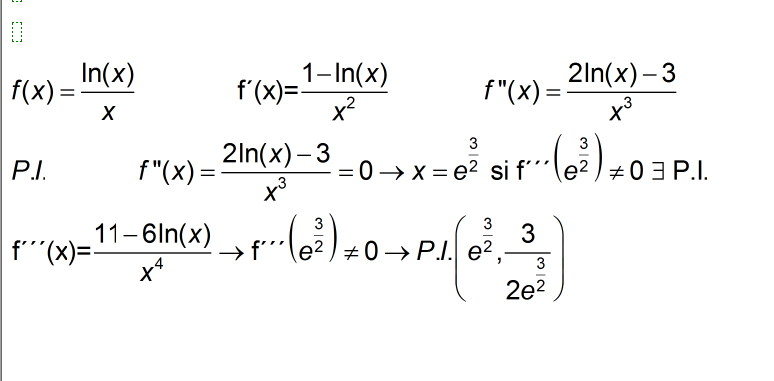
    Mireia Cabeza Llorca
    el 28/4/16
    flag

    Hola buenas tardes, me podes ayudar con esta derivada?



    40. Calcular los puntos de inflexión de: fx Lnx/x
    (es todo el logaritmo partido x)

    replythumb_up0 voto/sflag
    icon

    César
    el 28/4/16

    Te podemos ayudar Mireia

    thumb_up0 voto/sflag
  • icon

    leo
    el 28/4/16

    Buenas tardes me podrían ayudar con este límite lím x-->∞ (7x/7x+2)∧x-1.
    Muchas gracias

    replythumb_up0 voto/sflag
    icon

    César
    el 28/4/16

    ^mira este video Leo
    https://www.youtube.com/watch?v=_L9lR2mWKqQ

    thumb_up0 voto/sflag
    icon

    leo
    el 29/4/16

    Muchas gracias César

    thumb_up0 voto/sflag
  • icon

    Marco
    el 28/4/16

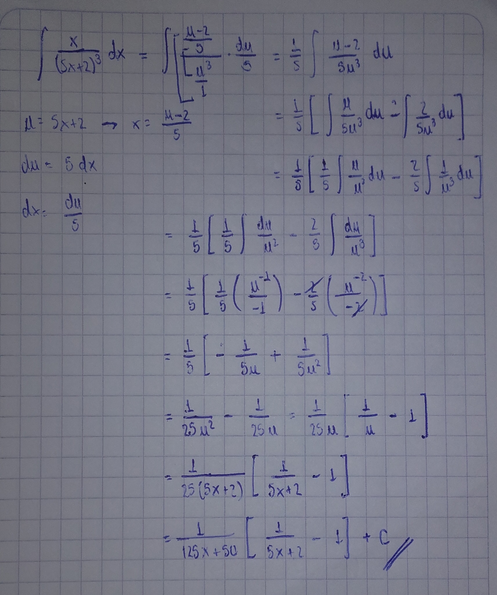
    hola unicoos por favor estoy haciendo una integral por parte pero no puedo llegar a la respuesta.
    Les dejo la imagen, gracias de antemano.

    replythumb_up0 voto/sflag
    icon

    Alvaro
    el 28/4/16

    Aquí tienes el ejercicio resuelto. Solo basta con un cambio de variable.

    thumb_up0 voto/sflag
  • icon

    The punk
    el 28/4/16

    Hola estoy haciendo una demostración de una relación de equivalencia y tengo una duda....en el conjunto de los números naturales a - a = 0 es una propiedad....

    replythumb_up0 voto/sflag
    icon

    David
    el 29/4/16

    La suma de un numero con su inverso es 0...

    thumb_up0 voto/sflag
    icon

    Antonius Benedictus
    el 29/4/16

    Es el elemento simétrico de "a" respecto de la operación.,siendo 0 el elemento neutro Si se trata de + , suele llamarse opuesto.

    thumb_up0 voto/sflag
    icon

    Frank Rios
    el 29/4/16

    Es la suma de un numero y su opuesto y da 0...

    thumb_up0 voto/sflag
  • icon

    Gaussiano
    el 28/4/16

    Hoola! Estoy intentando hacer este ejercicio de áreas de integrales y no logro representar la función correctamente, ¿cómo lo harían? Gracias.

    replythumb_up0 voto/sflag
    icon

    César
    el 28/4/16

    va la grafica

    thumb_up1 voto/sflag
    icon

    Gaussiano
    el 28/4/16

    Solo para confirmar César, ¿el área te da 8/3 u^2? Gracias

    thumb_up0 voto/sflag