Foro de preguntas y respuestas de Matemáticas

logo beUnicoos
Los foros de unicoos se han unificado en nuestra nueva plataforma beUnicoos. Para dejar nuevas preguntas deberás hacerlo allí, donde además podrás encontrar nuevas asignaturas y herramientas para ayudarte más con tus estudios.

  • icon

    carlota
    el 26/4/16
    flag

    Buenas tardes! Me podrían ayudar en este ejercicio? Muchas gracias de adelanto! Un saludo

    replythumb_up0 voto/sflag
    icon

    Antonius Benedictus
    el 26/4/16

    La función presenta una discontinuidad en x=0.
    Si x→0 (por la izquierda), f(x)→+∞
    Si x→0 (por la derecha), f(x)→-∞
    Entonces, hay una discontinuidad de salto infinito. La curva, en l x=0, tiene una asíntota vertical.

    thumb_up0 voto/sflag
    icon

    carlota
    el 26/4/16

    Muchas gracias Antonio pero, ¿No tendría una asíntota oblicua también? Debido a que el grado de P menos el de Q es =1. Si se procede a hacer la división, el resultado y=x y la fórmula en total sería x²-1/x=x-1.
    ¿Está bien?

    thumb_up0 voto/sflag
    icon

    Antonius Benedictus
    el 26/4/16

    Sí, pero eso no tiene nada que ver con la continuidad.

    thumb_up0 voto/sflag
  • icon

    Fermat
    el 26/4/16

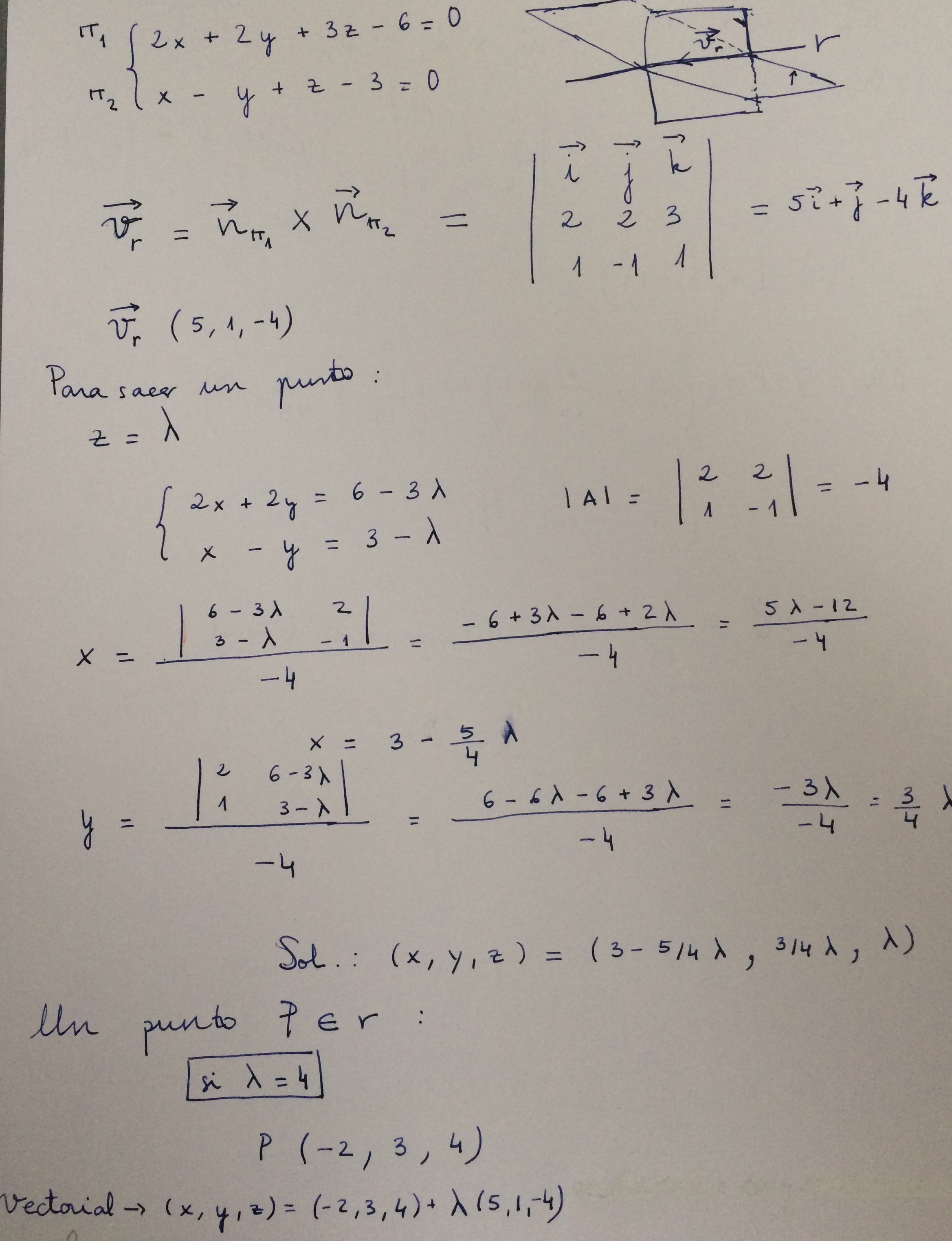
    Muy buenas tardes, en el ejercicio que adjunto me piden calcular la ecuación vectorial de una recta dada como intersección de dos planos (ec. implícita). El problema está en el "barullo" que hay que hacer (o por lo menos, hago) para sacar un simple punto de esa recta. Agradecería que comprobasen si está bien hecho el ejercicio y de paso que me dijesen algunas otras formas de llegar a la ec. vectorial dado el enunciado del problema. Gracias, un saludo!

    replythumb_up0 voto/sflag
    icon

    Antonius Benedictus
    el 26/4/16

    Fermat, resolver por Cramer un sistema con dos incógnitas (x,y) es como matar un mosquito a garrotazos. Por reducción y punto.
    En todo caso, para obtener un punto de la recta, puedes dar z=0 (u otro valor que veas más conveniente) y calcular las otras dos. Es suficiente,

    thumb_up0 voto/sflag
    icon

    Fermat
    el 26/4/16

    Agradezco la sinceridad!, pero... de veras no resulta mucho más cómodo calcular tres determinantes de orden dos, que andar ajustando números (en el caso que fuese un sistema un "pelín" más feo). Nos vemos Antonio!

    thumb_up0 voto/sflag
  • icon

    leo
    el 26/4/16

    Hola buenos días me podrían ayudar con este límite, no se por donde empezar.
    Muchas gracias

    replythumb_up0 voto/sflag
    icon

    Antonius Benedictus
    el 26/4/16

    Te ayudamos, Leo:

    thumb_up0 voto/sflag
    icon

    leo
    el 26/4/16

    Muchas gracias Antonio, por ende para hacer estos ejercicios tengo que saber muy bien las propiedades de límites

    thumb_up0 voto/sflag
  • icon

    Albus99
    el 26/4/16
    flag

    Holaa, tengo que hacer un trabajo de mates y en un ejercicio me ponen esto, alguien me hecha una mano porfaa

    replythumb_up0 voto/sflag
    icon

    César
    el 26/4/16

    Creo que con la gráfica será suficiente

    thumb_up0 voto/sflag
  • icon

    Ivan
    el 26/4/16

    holaa, podrian decirme que metodo puedo usar para este limite?

    http://sketchtoy.com/66930574

    replythumb_up0 voto/sflag
    icon

    David
    el 26/4/16

    Hola, si no me he equivocado sale -1/0, por lo que es una indeterminación de k/0, por lo tanto tendrías que hacer los limites laterales. Un saludo!

    thumb_up0 voto/sflag
    icon

    César
    el 26/4/16

    es inmediato solo sustituir el 1

    verás que no existe lim, pues por la izquierda es -∞ y por la derecha +∞

    thumb_up0 voto/sflag
    icon

    Ivan
    el 27/4/16

    gracias a los dos, buen grafico cesar

    thumb_up1 voto/sflag
  • icon

    Georgi Ana
    el 26/4/16

    Hola!
    Estoy estudiando vectores..En plan fácil pero bueno.

    Tengo los siguientes vectores:
    v= (-1,3)
    u=(2,-1)
    w=(0,4)

    Y me piden, entre otros apartados -u ... y me dió -u=(2,-1) pero mirando el solucionario veo que esta mal. Quien me puede ayudar, please?

    replythumb_up0 voto/sflag
    icon

    Antonius Benedictus
    el 26/4/16

    Es correcto, Georgina. Los solucionarios tienen erratas.

    thumb_up1 voto/sflag
  • icon

    Carlos Garcia
    el 26/4/16
    flag

    Hola!, qué tal?, bueno, haciendo unos ejercicios me ha surgido una duda, y es que no se que tengo que hacer con el 3,14, pongo el ejercicio. √2↑7•3↑,14•5↑4 , no se si se entenderá, (el valor de raíz es 4, pero no sabia como ponerlo, y cada vez que pongo una flecha es potencia), he intentado adjuntar una imagen pero me dice que pesa demasiado..., gracias!!

    replythumb_up0 voto/sflag
    icon

    David
    el 27/4/16

    Lo siento pero no entiendo lo que quieres expresar... Intentalo con una foto de menor calidad...

    thumb_up1 voto/sflag
    icon

    Carlos Garcia
    el 29/4/16

    Ahora si lo he conseguido!, es ese ejercicio de la foto, y el 3 esta elevado a

    thumb_up0 voto/sflag
  • icon

    Ivan
    el 26/4/16

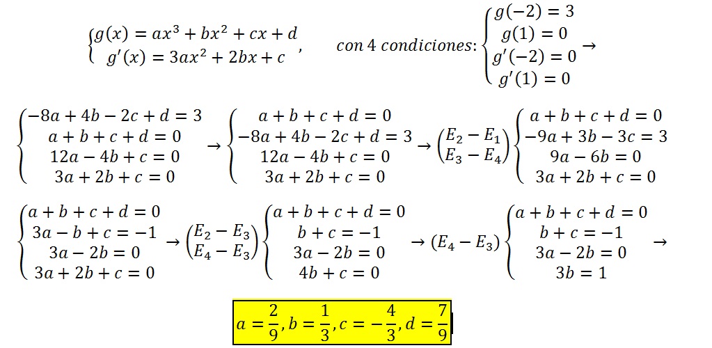
    Hola, estaba haciendo este ejercicio el cual el enunciado es sea g(x) = ax^3 + bx^2 +cx +d tal que g(-2) = 3 sea maximo relativo y g(1) = 0 minimo relativo averiguar a b c y d que cumplan esas condiciones.

    Me quede trabado en ese sistema de ecuaciones no encuentro forma de resolverlo

    replythumb_up0 voto/sflag
    icon

    Antonius Benedictus
    el 26/4/16

    Te corregimos, Iván:

    thumb_up0 voto/sflag
    icon

    Ivan
    el 26/4/16

    Muchas gracias

    thumb_up0 voto/sflag
  • icon

    Lily
    el 26/4/16

    Hola!
    Necesito hallar el dominio de la siguiente función: f(x)=5/(x^2-6x+10) si x≥0
    Me ha dado como resultado : dom f(x)= -10/6 Creo que esta mal, ¿alguien me puede corregir?

    replythumb_up0 voto/sflag
    icon

    Antonius Benedictus
    el 26/4/16

    Como x^2 -6x+10=0 no tiene solución, resulta que el dominio de f es TODA LA RECTA REAL.

    thumb_up0 voto/sflag
  • icon

    Facundo Meier
    el 26/4/16

    Hola profesores, buen día, tengo una duda con el siguiente ejercicio lim x tiende a infinito (x-1/x+3) elevado a x+2, la consigna es calcular mediente el limite especial e . Intente resolverlo, lo que hice fue sumar y restar 3 en el numerador y luego separe (x-1/x-3 + 2/x-3)^X+2. Me podrán decir si está bien


    replythumb_up0 voto/sflag
    icon

    Hugo
    el 26/4/16

    Si lo que buscas es calcularlo usando el limite notable (1+1/n)^n cuando n-->inf es igual al numero de euler, lo que desbes hacer es sumar y restar uno.

    thumb_up1 voto/sflag
    icon

    Facundo Meier
    el 26/4/16

    Mucha gracias

    thumb_up0 voto/sflag
    icon

    Facundo Meier
    el 26/4/16

    Lo que hice fue sumar y restar un 3. luego hice lim de x tiende a inf(x+3/x+3 -x+2 4/ x-3)^ x+2 y ahi quedo el lim(1- 4/x-3)^x+2 , luego cambié de variable igualando a 4/x-3 = 1/t y me dio como resultado 4t+3=x, eso lo reemplace en el exponente lim t tiende a inf(1+1/t)^(4.3)+2 = lim (1+1/t) ^ 4t+. Hasta ahi voy bien?

    thumb_up0 voto/sflag