hola tengo una pregunta , en que caso se hace uso de logaritmo de base 10 o de otras bases y en que caso se aplica logaritmo natural o neperiano.
Hola, me podrían ayudar con este ejercicio.? ... dice:
-Considerar la funcion F definida por: -|x+1|+6 si |x| ≥ 4
- ¿Cómo debería "desarrollar" el valor absoluto? y no entiendo la condición :/
hola amigos, necesito ayuda con este ejercicio... el enunciado es el siguiente:
Descomponga la función racional en fracciones parciales.
Agradecería mucho su ayuda.

Factoriza mediante RUFFINI el denominador... Despues... Integrales racionales
Se trata de que DESPUES DE IR A CLASE (ver los vídeos relacionados con vuestras dudas) enviéis dudas concretas, muy concretas. Y que nos enviéis también todo aquello que hayais conseguido hacer por vosotros mismos. Paso a paso, esté bien o mal. No solo el enunciado. De esa manera podremos saber vuestro nivel, en que podemos ayudaros, cuales son vuestros fallos.... Y el trabajo duro será el vuestro. #nosvemosenclase Nos cuentas ¿ok?
Buenas tardes a todos, amigos como se resuelven ejercicios trigonométricos del tipo: dado csc α= 4; calcular las demás funciones trigonométricas de α
Me lo acaban de mandar como propuesto de mi libro de estudio pero en la solución propuesta me sale nada mas la respuesta, me podrían dar el proceso paso por paso? se los agradecería mucho.
Ok, pero me queda una ultima duda, en los ejercicios que he visto de este tema, siempre se anexa el cuadrante donde se ubica el angulo en los datos del ejercicio, 90 grados<α<180 grados (cuadrante 2) por poner un ejemplo. En este ejercicio, sin embargo, no pasa eso. Como no conozco el cuadrante no se que signo deberá tener el coseno una vez lo saque con la formula que me indicas: senx^2+cosx^2=1
Que se supone que debo hacer en este tipo de casos para calcular el cuadrante o bien saber el signo de cada identidad?
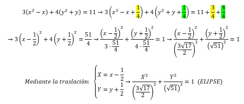
Hi µnicoos me podrían de favor ayudar con este problema de traslación y rotación, geometría analítica no se como puedo eliminar los términos de primer grado.
Transforma la ecuación 3x²+4y²-3x+4y-11=0 por traslación paralela de los ejes, de modo que la ecuación referida al nuevo sistema de coordenadas no tenga términos de primer grado. Si hacen el favor de ayudarme, les agradesco mucho. Thanks.
Hola amigos de unicoos, aquí nuevamente pidiendo vuestra colaboración, necesito vuestra ayuda con esto, es respecto a un problema de trigonómetria. Muchas gracias de antemano mis unicoos por su ayuda, saludos.