Hola :) Esto buscando vídeos pero no encuentro sobre resolución de sistemas con matriz inversa. ¿Hay algún vídeo?
Gracias :D
Ecuacion matricial 02 creo que te refieres a esto...
Es una ecuación, no un sistema, pero la forma de aplicarlo es igual, o eso creo jajajaja espero que te haya servido, y si no, lo sientoo
Saludos!
Hola,
Sigo con probabilidad y esta vez me he quedado bloqueada en el apartado b) de la imagen.
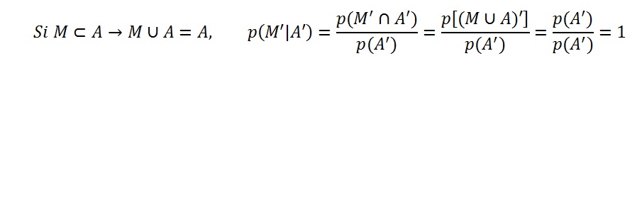
Me piden hallar el valor de P(M'/A') sabiendo que M ⊂ A.
He calculado la P(A') pero con solo esos datos no consigo encontrar el valor exacto de la P(M'). Solo sé que el valor de la probabilidad de M' → 0,7 > P(M') ≥ 1
Es el procedimiento a seguir como lo estoy haciendo yo o hay otra manera más fácil? Dejo todo lo que he hecho y los enunciados en la imagen.
Gracias!

Imagino que conoces la Ley de Morgan: El contrario de la unión es la intersección de los contrarios.
En cualquier caso, aquí funciona bien el sentido común. Si M⊂A, siempre que se cumpla M se ha de cumplir A. Por tanto, so aceptamos que A no se cumple, M tampoco se podrá cumplir. Es seguro, pues. Te mandamos los cálculos:
Hola,
Escribir la ecuación general de la recta que:
Pasa por A (1, 5) y tiene como pendiente m = −2.
Siendo la fórmula Ax+By+C=0 ó multiplicando en cruz la ecuación continua e igualando a cero, pero no sé de donde sale m.
Ayuda pliss
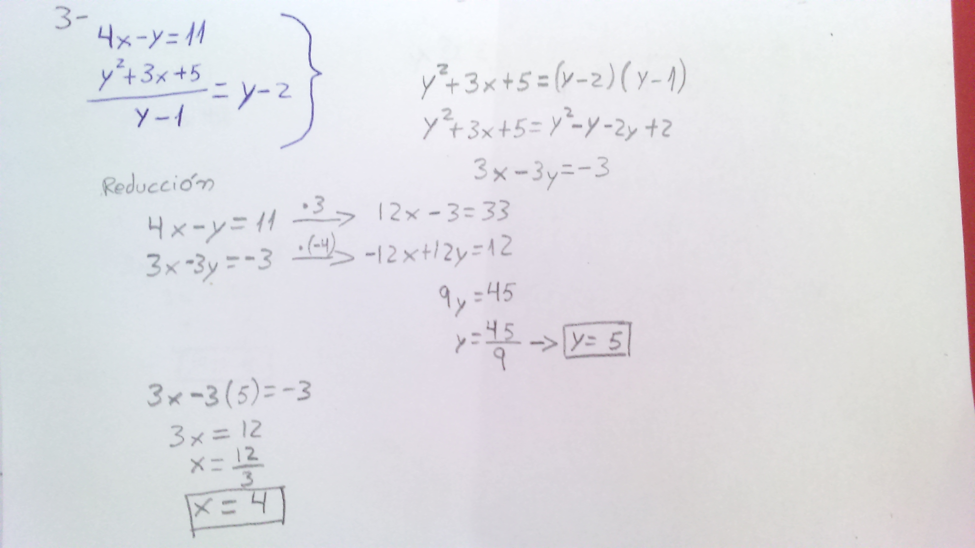
Hola buenos días, antes que nada daros las gracias por todo el material ya que me sirve de mucho y esta todo muy bien explicado. Estoy preparandome para la prueba de acceso en Valencia, y estoy haciendo los examenes anteriores, en este ejercicio de 2010 estoy casi seguro que lo tengo bien, pero para corregirlos veo las soluciones en otra página en la que pone que el resultado es: x=2 y=-3
Me podríais decir en que e fallado? o si lo tengo bien? es que por mas que lo compruebo no encuentro el error... gracias
Me puedes ayudar con estos problemas de inecuaciones:
∗ Un artesasno elabora pulseras de dos tamaños. Las pequñas las vendea a 1€ la unidad, y las grandes, a 1,5€. Si el número de pulseras grandes que realiza al día es superior al doble del de pulseras pequeñas. ¿Qué cantidad de pulseras de cada tipo debe elaborar para que su venta diaria le reporte un beneficio superior a 30€? (Me da la pista de que se hace con sistema jaja)
∗ Un instituto de secundaria debe renovar, como minimo, 2 pizarras y 15 pupitres. Teniendo en cuenta que una pizarra cuesta 100€, un piquete 150 €, y y que el presupuesto maximo de estas compras es de 5000€, determinando las distintas opciones de compra existentes. (Sistema)
Por favor, alguien podria ayudarme? Eso es lo que llevo hecho, pero se supone que debo trabajar sin abrir las llaves, y ya de ahí no se que más hacer
unicoos.. estoy estudiando funcion inversa.. . y toy trabado con una duda...quisas sea algo tont.... la funcion inversa de una funcion dada.. por ejemplo una funcion lineal.. su inversa nunca se cruzaria verdad seria paralela a la funcion dada verdad ? tengo esta duda por que vi unos ejemplos del profe donde se intersectan,, y me confundi.... gracias por todo el aporte que den..
La función inversa de una Función lineal da otra función lineal , por lo tanto en algún punto se cortan, es decir en este caso si se cruzan, pero claro en un solo punto.
Pero esto no sucederá siempre,puede haber una función en donde se cruce con su inversa en algún punto o más de uno y puede haber otra función en donde directamente no se cruce con su inversa.