Foro de preguntas y respuestas de Matemáticas

logo beUnicoos
Los foros de unicoos se han unificado en nuestra nueva plataforma beUnicoos. Para dejar nuevas preguntas deberás hacerlo allí, donde además podrás encontrar nuevas asignaturas y herramientas para ayudarte más con tus estudios.

  • icon

    Irene
    el 25/4/16

    La integral de x^2*e^-x es igual que la integral de x^2*e^x o afectaria el menos de alguna manera?

    replythumb_up0 voto/sflag
    icon

    Miguel Fuego
    el 25/4/16

    Sí, el menos si que afecta, ten en cuenta que tener e^-x en el numerador es como tener e^x en el denominador.

    thumb_up1 voto/sflag
  • icon

    AnDres Navarrete
    el 25/4/16
    flagflag

    Ayuda por favor!

    replythumb_up0 voto/sflag
    icon

    David
    el 25/4/16

    Lo siento pero tu duda no es de matemáticas (se da en lógica o en filosofía). Espero lo entiendas..

    thumb_up1 voto/sflag
  • icon

    vanny
    el 25/4/16
    flagflag

    hola podrian ayudarme con el problema 1 . gracias

    replythumb_up0 voto/sflag
    icon

    David
    el 25/4/16

    Lo siento pero tu duda se da en economía o matematicas financieras.. No podemos ayudarte en los foros por ahora. Espero lo entiendas. Besos!

    thumb_up0 voto/sflag
    icon

    Antonius Benedictus
    el 25/4/16

    Las gráficas las haces tú, Vanny:
    http://www.mathe-fa.de/es

    thumb_up0 voto/sflag
  • icon

    Ivan
    el 25/4/16

    holaa, me ayudan con el 4?porfavor

    replythumb_up0 voto/sflag
    icon

    César
    el 25/4/16

    Mírate este video, seguro que te ayuda
    https://www.youtube.com/watch?v=pdnsAvBQWa0

    thumb_up0 voto/sflag
    icon

    Antonius Benedictus
    el 25/4/16

    Y sigue este procedimiento:

    thumb_up0 voto/sflag
    icon

    Ivan
    el 25/4/16

    gracias

    thumb_up0 voto/sflag
  • icon

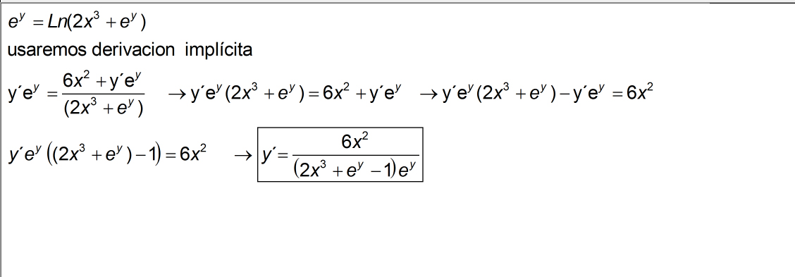
    Darwin Henriquez
    el 25/4/16
    flag

    Hola Unicos alguien me puede ayudar con esta derivada
    e^y = Ln(2x^3 + e^y) ... Se los agradesco.... si me dicen como hacerla :D

    replythumb_up0 voto/sflag
    icon

    César
    el 25/4/16

    Va la ayuda Darwin

    thumb_up0 voto/sflag
    icon

    David
    el 25/4/16

    Echale un vistazo... Derivación implicita

    thumb_up0 voto/sflag
  • icon

    Gaussiano
    el 24/4/16

    Hoola! Y este, las funciones trigonométricas me dan problemas, creo que pi/2 es un desfase pero no sé cómo hacer el planteamiento a partir de ahí. Se agradece cualquier modelo resuelto. Gracias

    replythumb_up0 voto/sflag
    icon

    David
    el 25/4/16

    Echale un vistazo y nos cuentas ¿ok?... Representacion de una funcion trigonometrica

    thumb_up1 voto/sflag
    icon

    César
    el 25/4/16

    La gráfica será la de un coseno desplazado π/2 hacia las x negativas, equivale a un seno con signo menos
    cos(x+π/2)=-sen(x)

    thumb_up1 voto/sflag
  • icon

    Gaussiano
    el 24/4/16

    Hoola! ¿Cómo planteo este ejercicio de cálculo de áreas entre funciones? Gracias

    replythumb_up0 voto/sflag
    icon

    Antonius Benedictus
    el 24/4/16

    Así,Alien:

    thumb_up1 voto/sflag
    icon

    Gaussiano
    el 24/4/16

    Gracias

    thumb_up0 voto/sflag
  • icon

    Nacho
    el 24/4/16

    Hola de nuevo, necesito otra ayudita, me tranco con las prop de determinantes:

    Sea una matriz A 3*3, donde el determinante de A vale 2 y sea B=A^2 y se conoce que el determinante de (2A+2B)(2A-2B)=32. Cuanto vale el determiante de I-A^2

    replythumb_up0 voto/sflag
    icon

    Antonius Benedictus
    el 24/4/16

    Va la explicación, Nacho:

    thumb_up1 voto/sflag
    icon

    Nacho
    el 24/4/16

    Genial, Muchas muchas gracias nuevamente.. perdon por las molestias

    thumb_up0 voto/sflag
  • icon

    Nacho
    el 24/4/16

    Necesito ayuda con este ejercicio, por fa!!!!

    replythumb_up0 voto/sflag
    icon

    Antonius Benedictus
    el 24/4/16

    Va la ayuda, Nacho:

    thumb_up0 voto/sflag
    icon

    Nacho
    el 24/4/16

    Muchas muchas muchas gracias!!!!!!!!!!!!

    thumb_up0 voto/sflag
    icon

    Nacho
    el 24/4/16

    Una pregunta algun material para encontrar las formulas y propiedades sobre este tema, aconsejable??

    thumb_up0 voto/sflag
  • icon

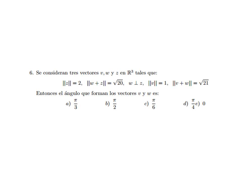
    Indira
    el 24/4/16

    Como puedo resolver este tipo de ejercicios? Son ejc tipo examen

    replythumb_up0 voto/sflag
    icon

    manu
    el 24/4/16

    alguno no se ve con claridad pero por ejemplo el primero solo tienes que hacer que el parámetro cumpla la ecuación con los datos que tienes

    thumb_up0 voto/sflag
    icon

    Indira
    el 24/4/16

    No sé cómo resolverlo

    thumb_up0 voto/sflag