Buen día unicoos, es la primera vez que uso el foro, quiero que me ayuden de favor, la matemáticas me gustan pero me fustro cuando no llego a la solución, no entiendo bien como puedo hallar los términos y la expresión pedida en el literal 20.) , me parece que psuede ser una sucesión aritmética o geómetrica. La solucion del literal 20.) es:
An=((3^(n-1))(3^½))/(2^(2n)) . Gracias y un cordial saludo.
HOLA TENGO ESTE EJERCICIO E HICE EL APARTADO A) =1/4; B) 1/10; C) 3/40; D) 14/40 PERO EN EL ULTIMO MI DUDA ES CUANDO DICE "SIMULTANEAMENTE" SE CALCULA COMO SI FUESE CON SUSTITUCION, YO LO HICE ASÍ Y ME DA (4/40) (4/40) = 1/ 100 .
SI NO ES CORECTO ME EXPLICAN COMO SE HACE EL ULTIMO APARTADO , GRACIAS.
De un mazo de 40 cartas españolas, se extrae una al azar, calcula la probabilidad de los siguientes sucesos:
A: “sea una carta de oro”
B: “sea un caballo”
C: “sea una figura de espada”
D: “sea una carta de basto o un as”
Si ahora se extraen dos cartas simultáneamente, calcula la probabilidad de que las dos sean reyes.
alguien me puede ayudar con este ejercicio de la universidad?
Problema b)(2ptos.) Sea f : R2 →R2 la funcio´n definida por f(x,y) = x^3 −y^3 + xy−x^2. (i) Calcule el polinomio de Taylor P2 de orden 2 de f en el punto (x,y) = (1,1)
(ii) Calcule de manera razonada una cota del error cometido al aproximar f por P2 en I = [0,2]×[0,2]. Es decir, calcule una cota del error max (x,y)∈I|P2(x,y)−f(x,y)|
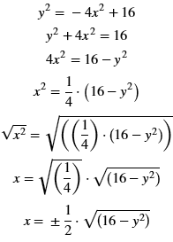
Buenas tardes. Tengo una duda: como se calculan los límites de una función? Gracias. Un saludo

¿A qué te refieres con límites, Marina? Bien podrías hablarnos de extremos relativos/absolutos de una función (que no es lo mismo) o límites en sí, y en una sola función se pueden calcular una gran cantidad de límites, todos los cuales se hacen de forma diferente. Sé un poco más específica y podremos ayudarte.

Pues es sencillo. El límite de una función f(x) cuando x tiende a un número es, básicamente, sustituir en la función f(x) el valor que te dan. En ese caso, el límite de f(x) = x - 2 cuando x tiende a 3 sería lim f(x) = 3 - 2 = 1.
Cuando se trata de límites laterales (por la izquierda y la derecha) de un número -algo que suele utilizarse para comprobar si la función en dicho pto es contínua, por ejemplo- es sustituir en la x un valor que se acerque a dicho número por el lado que te indican. Si fuera este el caso, y te pidiesen hallar los límites laterales de f(x) = x-2 cuando x tiende a 3 por la derecha y por la izquierda, harías lo siguiente:
lim f(x) = x - 2 cuando x tiende a 3 por la izquierda (es decir, por el lado negativo) = 2'999999999 - 2 = 1 (la función en este caso tendería a dar 1)
lim f(x) = x - 2 cuando x tiende a 3 por la derecha (es decir, por el lado positivo) = 3'0000000001 -2 = 1 (la función en este caso tendería a dar 1)
En este caso concreto, por ejemplo, los límites laterales coinciden y son iguales al valor de la función en 3, por lo que sería continua en x=3... pero no siempre coinciden, y en ese caso ya entramos en tipos diferentes de discontinuidad :)