Foro de preguntas y respuestas de Matemáticas

logo beUnicoos
Los foros de unicoos se han unificado en nuestra nueva plataforma beUnicoos. Para dejar nuevas preguntas deberás hacerlo allí, donde además podrás encontrar nuevas asignaturas y herramientas para ayudarte más con tus estudios.

  • icon

    The punk
    el 21/4/16
    flagflag

    Hola estoy estudiando relaciones, me podrían ayudar con este ejercicios no lo entiendo...
    R es simétrica si y solo si R = R opuesta

    replythumb_up0 voto/sflag
    icon

    Antonius Benedictus
    el 21/4/16

    Una precisión: ¿Cómo te definen en teoría la R opuesta?

    thumb_up0 voto/sflag
    icon

    The punk
    el 21/4/16

    Me la definen como R opuesta = {(x, y) ∈ B × A : (y, x) ∈ R}.

    thumb_up0 voto/sflag
    icon

    Antonius Benedictus
    el 21/4/16

    Pues va...

    thumb_up0 voto/sflag
  • icon

    Josep Lopez
    el 21/4/16
    flag

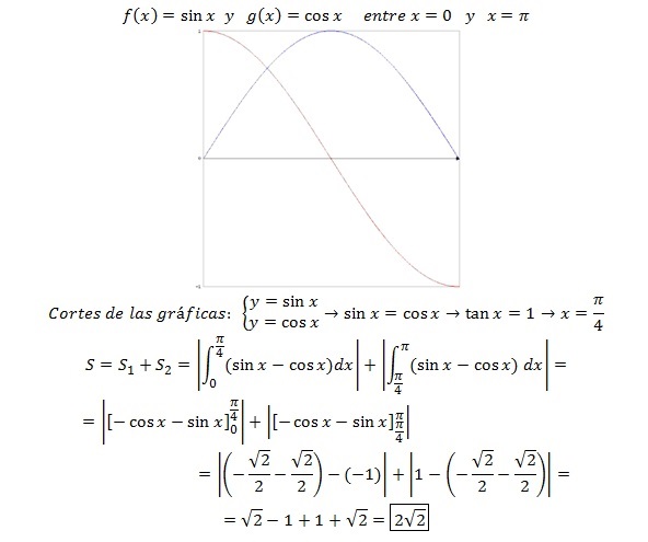
    Como calculo el área limitada por la función seno x y coseno x entre los puntos 0 y pi logro sacar el trozo de 0 a pi/4 y de pi/4 a pi/2 , pero de pi/2 a pi ni idea. Gracias de antemano

    replythumb_up0 voto/sflag
    icon

    Antonius Benedictus
    el 21/4/16

    Te explicamos, Josep:

    thumb_up1 voto/sflag
    icon

    César
    el 21/4/16

    Va Josep es mas fácil de lo que parece

    thumb_up1 voto/sflag
  • icon

    Tayba Bin Muslim
    el 21/4/16
    flagflag

    Hola profes!!
    Necesito ejercicios de practica para derivadas, estoy empezando ahora, plz y gracias.
    Saludos

    replythumb_up0 voto/sflag
    icon

    César
    el 21/4/16

    Debe haber un montón de ejercicios en la red, aparte de en tu libro de mates.
    https://carlosmatematicas.files.wordpress.com/2011/03/ej-derivadas-sol.pdf

    thumb_up1 voto/sflag
    icon

    Nataly
    el 21/4/16

    Hola, yo te puedo mandar las guías que tengo en word te dejo mi correo. Avísame si las quieres. Son 4.

    thumb_up1 voto/sflag
    icon

    Nataly
    el 21/4/16

    Nataaly.CH@gmail.com

    thumb_up1 voto/sflag
  • icon

    David
    el 21/4/16

    Hola, aquí estoy de nuevo con más ejercicios de probabilidad, ¿alguien podría decirme si los he resuelto bien o si se resolverían de otra forma? Un saludo!

    replythumb_up1 voto/sflag
    icon

    Antonius Benedictus
    el 21/4/16

    Te corregimos. David. Va el primero:

    thumb_up1 voto/sflag
    icon

    Antonius Benedictus
    el 21/4/16

    Revisa las operaciones, David:

    thumb_up1 voto/sflag
    icon

    David
    el 22/4/16

    Muchísimas gracias de nuevo Antonio, no esperaba que se complicaran tanto los ejercicios, seguiré practicando. Un saludo, gracias!

    thumb_up0 voto/sflag
  • icon

    Gonzalevsky
    el 21/4/16
    flag

    ¿Cómo puedo distinguir los puntos de corte con el eje X en una función continua?

    replythumb_up0 voto/sflag
    icon

    Antonius Benedictus
    el 21/4/16

    En la ecuación funcional y=f(x), pones y=0 y resuelves (si puedes) la ecuación resultante.

    thumb_up1 voto/sflag
  • icon

    Artaki
    el 21/4/16
    flagflag

    Tres pelotas de tenis se introducen en un tubo cilíndrico de 6,6 cm de diámetro en el que encajan hasta el
    borde.
    A. Calcula el volumen total de las tres pelotas de tenis
    B. ¿Cuál es el volumen del cilindro que contiene las pelotas?
    C. ¿Cuál será el volumen de la parte vacía del bote?

    replythumb_up0 voto/sflag
    icon

    Antonius Benedictus
    el 21/4/16

    El diámetro de la base del cilindro es el de las pelotas. Entonces, el volumen total es: 3·(4/3)·pi·(3,3)^3
    El cilindro tiene por altura tres diámetros, esto es: h=3·6,6
    El volumen de un cilindro es pi·(3,3)^2·h
    Etcétera...

    thumb_up2 voto/sflag
    icon

    Francisco Gutiérrez Mora
    el 21/4/16

    Artaki, te lo envío hecho. Si no entiendes algo, me lo preguntas. Un Saludo.

    thumb_up2 voto/sflag
    icon

    Artaki
    el 25/4/16

    muchisimas gracias un saludo =))))))

    thumb_up0 voto/sflag
  • icon

    Juanma
    el 21/4/16
    flagflag

    Hoy en clase estuvimos discutiendo esta pregunta y no conseguimos aclararnos:

    Un individuo deja caer un objeto de masa 2kg desde lo alto del mástil de un barco que se mueve, en aguas tranquilas, con una velocidad constante de 20m/s. La longitud de la cubierta del buque es 60m y el mástil está situado en el centro de la misma siendo su altura sobre el suelo de la cubierta 20m. ¿Dónde caerá el objeto?

    replythumb_up0 voto/sflag
    icon

    Francisco Gutiérrez Mora
    el 21/4/16

    A ver Juanma, este ejercicio es de física, no obstante te dejo aquí la solución. Un Saludo.

    thumb_up0 voto/sflag
  • icon

    Nerea
    el 21/4/16

    Hola, ¿me pueden ayudar con estos ejercicios?.
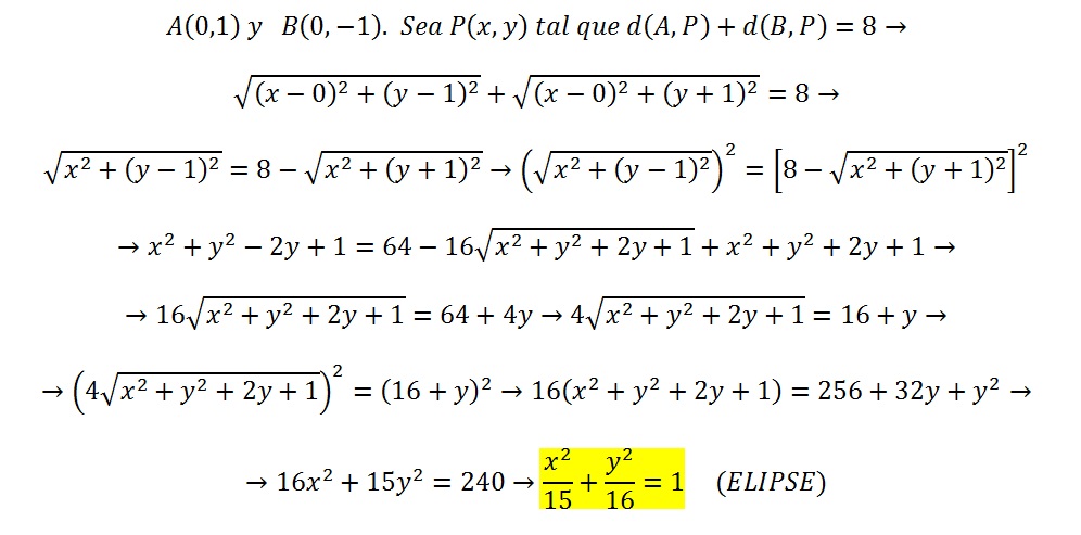
    1. Halla la ecuación del lugar geométrico cuya suma de distancias a los puntos A(0,1) y B(0,-1) es siempre 8.
    Sol: x^2/3 +y^2/4=1.
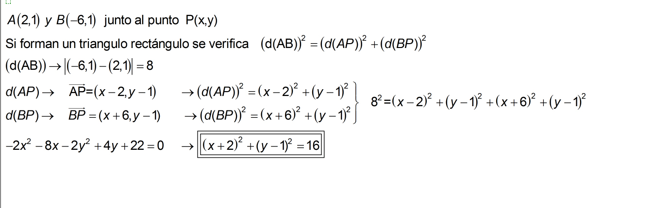
    2. Halla el lugar geométrico de los puntos del plano tales que el triángulo ABP sea rectángulo en P, siendo A(2,1) y B(-6,1). Interpreta la figura que obtienes.
    Sol: (x+2)^2+(y-1)^2=16.

    replythumb_up0 voto/sflag
    icon

    Antonius Benedictus
    el 21/4/16

    Te mando el primero, Nerea. Me sale otro resultado:

    thumb_up0 voto/sflag
    icon

    César
    el 21/4/16

    Y yo te mando el segundo

    thumb_up0 voto/sflag
  • icon

    andres
    el 21/4/16

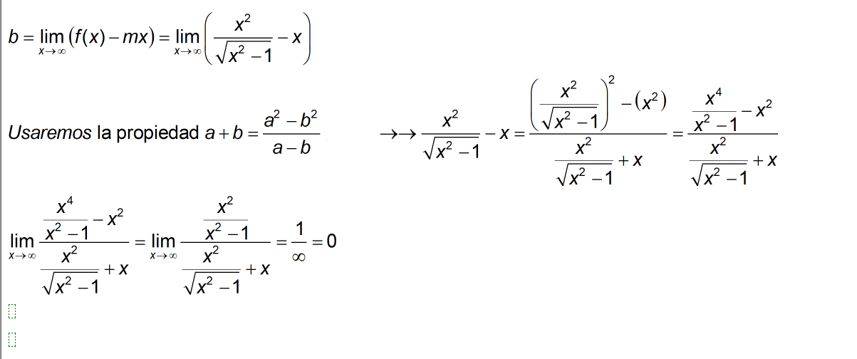
    Hola buen dia, tengo una duda con este ejercicio:

    Hallar las ecuaciones de las rectas asintotas : Y=(x^2) /( √x^2-1)

    no tiene AH, entonces quiero encontrar la AO. calculo m =1 y no puedo encontrar b .. me trabo en ese limite

    replythumb_up0 voto/sflag
    icon

    César
    el 21/4/16

    Va andrés

    thumb_up0 voto/sflag
    icon

    Antonius Benedictus
    el 21/4/16

    Te explicamos, Andrés:

    thumb_up0 voto/sflag
  • icon

    Juan
    el 21/4/16

    Hola,

    Tengo una duda con este ejercicio, en concreto con el subapartado 3. En el dice que la directriz de la parábola x^2=4y es y=-2.
    ¿No sería mas bien y=-1? 4=2p ; p=2; p/2=1; y=-p/2 ; y=-1
    Sin embargo según el enunciado de la pregunta parece que debería dar -2 ya que así se prueba con el resultado del subapartado 2.
    No se, estoy bloqueado
    Muchas gracias. Saludos

    replythumb_up0 voto/sflag
    icon

    César
    el 21/4/16

    Recuerda que la parabola en forma general es (x-h)²=4p(y-k)² , con (h,k) el vértice, en este caso V=(0,0)
    x²=4y ⇔x²=4py => 4=4p => p=1 luego la directriz es y=-1

    thumb_up0 voto/sflag
    icon

    Juan
    el 21/4/16

    Muchas gracias Cesar. Es lo que me salia a mi tambien. Debe haber algun error en el enunciado de la pregunta o en la solucion

    thumb_up0 voto/sflag