hola, me ayudan con este ejercicio de progresion geometrica porfavor, adjunto imagen con el problema y lo que hice
Buenas tardes, la verdad no tengo idea de como resolver esta integral, podrían ayudarme por favor, había pensado sustitución de variable, pero no supe que sustituir. Les agradecería su ayuda.
hola. me podrian ayudar con estos 2 ejercicios...es que he probado varias veces pero no se como hacer con los determinantes, me quedo estancado.

Echale un vistazo a estos videos, uno de ellos es identico... Discutir un sistema 01 - ROUCHE
En el segundo debes hallar β para que el sistema sea compatible determinado (SCD)... Eso se cumple si el Rango(A)=Rango(A*)=2..
El rango(A)=2 para cualquier valor de β.. Por tanto el rango de A* también será 2 (en ningun caso el rango de A* puede ser menor que el de A)....
Se trata de que DESPUES DE IR A CLASE (ver los vídeos relacionados con vuestras dudas) enviéis dudas concretas, muy concretas. Y que nos enviéis también todo aquello que hayais conseguido hacer por vosotros mismos. Paso a paso, esté bien o mal. No solo el enunciado. De esa manera podremos saber vuestro nivel, en que podemos ayudaros, cuales son vuestros fallos.... Y el trabajo duro será el vuestro. #nosvemosenclase Nos cuentas ¿ok?
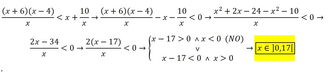
unicoos ayuda con este ejercicio
Halle el volumen del solido que se encuentra en el primer octante limitado por el cilindro
z=9-y^2 y el plano x= 2 no se como hacerlo ayudaaaaaa......
Alguien sabe como encontrar una función tal que el gradiente sea =(3x^2 +3y^3 +ye^xy)+(-2y^2 +3xy^2+e^xy)de antemano muchas gracias;

Me encantaría ayudarte, pero no respondo dudas universitarias que no tengan que ver específicamente con los videos que ya he grabado como excepcion. Lo siento de corazón… Espero lo entiendas
Es posible te ayude este video.. Vector Gradiente
tengo este problema que pertenece a un grupo de ejercicios sencillos: calcular el área de la figura comprendida entre las parábolas y = x², y = -3x² + 8, y = x + 2 , el problema es que al momento de realizar la grafica esta es un poco confusa y no logro ver con claridad cual es la zona en la que debo trabajar ni como platear la integral....suplico por ayuda con explicación clara lo mas urgentemente posible.....MUUUUUCHAS GRACIAS!!

Hola Joel ese es el gran problema seleccione las tres regiones pero al parecer son cuatro o no lo se bien y eso es lo que me tiene atorada con ese ejercicio en particular porque son cuatro partecitas las que terminan siendo delimitadas por las tres funciones :( y ya no doy con una idea...