
Lo siento èro no entiendo el proceso que has seguido para hacer la división...
Para comprobarlo, no obsntate, puedes multiplicar el COCIENTE por el DIVISOR y sumar despues el RESTO...
Te deberá dar el DIVIDENDO...
Por si te ayuda... Division de polinomios
Maximiliano, perdona, pero si tiene que cumplirse la igualdad, en ella debería poner z=ln(raíz(x^2-y^2)), pues si no no se cumple la siguiente igualdad. Puede ser un error en el enunciado, pues x^2+y^2 no es una identidad notable, y sin embargo, x^2-y^2 = (x+y)(x-y), que es lo que aplica en el desarrollo de la segunda igualdad.
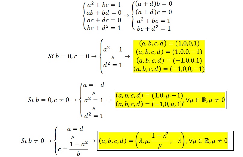
Hola Unicoos, me ayudan a despejar esta ecuacion? Gracias!
a² + bc= 1
ab + bd= 0
ac + dc= 0
bc + d²= 1
de la 2ª ecuación obtienes b(a+c)=0, de donde se deduce que b=0 o a= - c, abre dos posibilidades y sustituye cada una, es decir:
* si b = 0, el sistema queda .... (escríbelo y resuelve lo que obtengas)
* si a= - c, el sistema queda .....
de la 3ª ecuación obtienes c(a+d)=0, de donde se deduce que c=0 o a= - d, y haz lo mismo que en el caso anterior, dos posibilidades....
Holaa.. una pregunta, estamos con un ejercicio de algebra no sabemos como empezar. Dice asi: // Demostrar que si A es antisimétrica, necesariamente aii = 0, y además, los elementos
simétricos respecto de la diagonal principal son opuestos.
Hoola! ¿Podrían representar la siguiente función: 2/x^2-1? Gracias
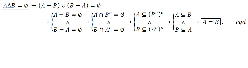
Hola otra duda de conjuntos quiero saber si esta propiedad es valida o no, quiero usarla en una demostración y no se si vale o no.....