Foro de preguntas y respuestas de Matemáticas

logo beUnicoos
Los foros de unicoos se han unificado en nuestra nueva plataforma beUnicoos. Para dejar nuevas preguntas deberás hacerlo allí, donde además podrás encontrar nuevas asignaturas y herramientas para ayudarte más con tus estudios.

  • icon

    Miquel Martos Doroteo
    el 10/4/16

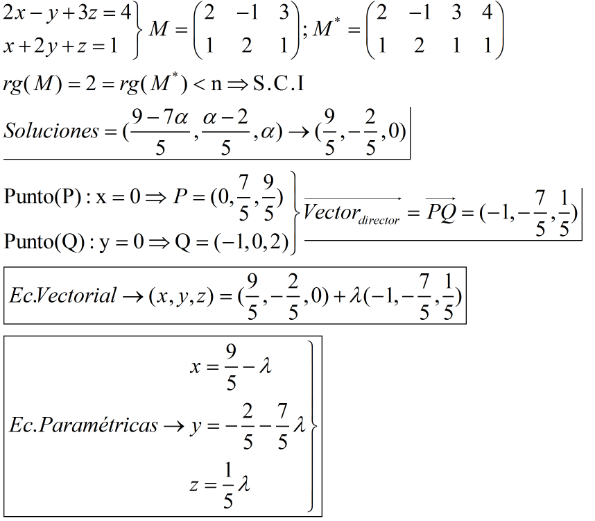
    ¡Muy buenas tardes a todos! Me gustaría saber si he resuelto bien éste ejercicio. Me piden determinar las ecuaciones paramétricas y la vectorial de la recta definida por el sistema. Lo que he hecho primero es calcular las soluciones del sistema y después determinar el vector director con dos puntos, el punto P y el punto Q. Para determinar el punto P he establecido que x=0, y para el punto Q he establecido que y=0.

    replythumb_up0 voto/sflag
    icon

    Antonius Benedictus
    el 10/4/16

    Está perfecto, Miquel. Una sugerencia para hallar el vector director:

    thumb_up2 voto/sflag
    icon

    Miquel Martos Doroteo
    el 10/4/16

    ¡Muchísimas gracias Antonio!

    thumb_up1 voto/sflag
  • icon

    Gaussiano
    el 10/4/16

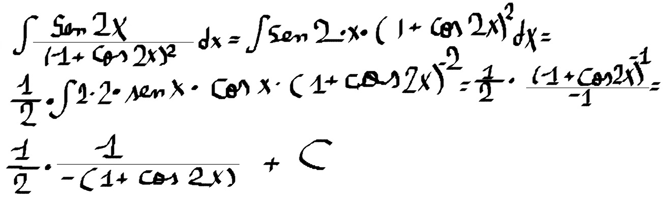
    Hoola! Intenté hacer esta integral, la solución correcta es 1/2(1+cos2x) + C, yo llego a esa expresión pero me da negativo, ¿dónde está el fallo? Gracias.

    replythumb_up0 voto/sflag
    icon

    César
    el 10/4/16

    si haces u=2x du =2dx →dx=½du
    ½∫sen(u)/(1+cos(u))²du
    Nuevo cambio t=1+cos(u) ;dt=-sen(u)du→-½∫dt/t²
    que ya es sencilla

    thumb_up1 voto/sflag
  • icon

    Fermat
    el 10/4/16

    Hola! En esta pregunta te piden que justifiques si los dos productos siguientes son sumandos de una determinante de orden 4. El segundo producto se ve que al no tener ningún elemento de la primera columna no será un sumando de ese determinante pero la justificación del primero de que sí lo es, no la acabo de entender, sobre todo por los conceptos de "permutación" e "inversión".

    replythumb_up0 voto/sflag
    icon

    Antonius Benedictus
    el 10/4/16

    Una explicación teórica, amigo Fermat:

    thumb_up2 voto/sflag
    icon

    Antonius Benedictus
    el 10/4/16

    Continúa:

    thumb_up2 voto/sflag
    icon

    Fermat
    el 10/4/16

    Muchas gracias Antonio, todo claro.

    thumb_up0 voto/sflag
  • icon

    Gaussiano
    el 10/4/16

    Hoola! Esta integral es fácil, pero no me sale.

    replythumb_up0 voto/sflag
    icon

    César
    el 10/4/16

    Haz t=cotg(x) dt=-1/sin^2(x)dx

    -∫tdt

    thumb_up1 voto/sflag
    icon

    Gaussiano
    el 10/4/16

    Hoola! César, ¿no hay una forma de hacer la integral que no sea sustitución? . Me refiero a la forma más directa, la de buscar una derivada del sen y a partir de ahí integrar.Gracias!

    thumb_up0 voto/sflag
    icon

    César
    el 10/4/16

    No se me ocurre nada mas directo Alien

    thumb_up1 voto/sflag
  • icon

    Idaira
    el 10/4/16

    Por favor!! Necesito ayuda con los logaritmos de nuevo porque es algo que me cuesta mucho, seria este;
    Ln z= 1-2ln x + 2ln y
    Me pide la relacion entre x e y
    Graciaas!

    replythumb_up0 voto/sflag
    icon

    JBalvin
    el 10/4/16

    Aquí está

    thumb_up0 voto/sflag
    icon

    mikel
    el 10/4/16

    De otra manera
    Saludos

    thumb_up1 voto/sflag
  • icon

    Jacqueline Cavanna
    el 10/4/16

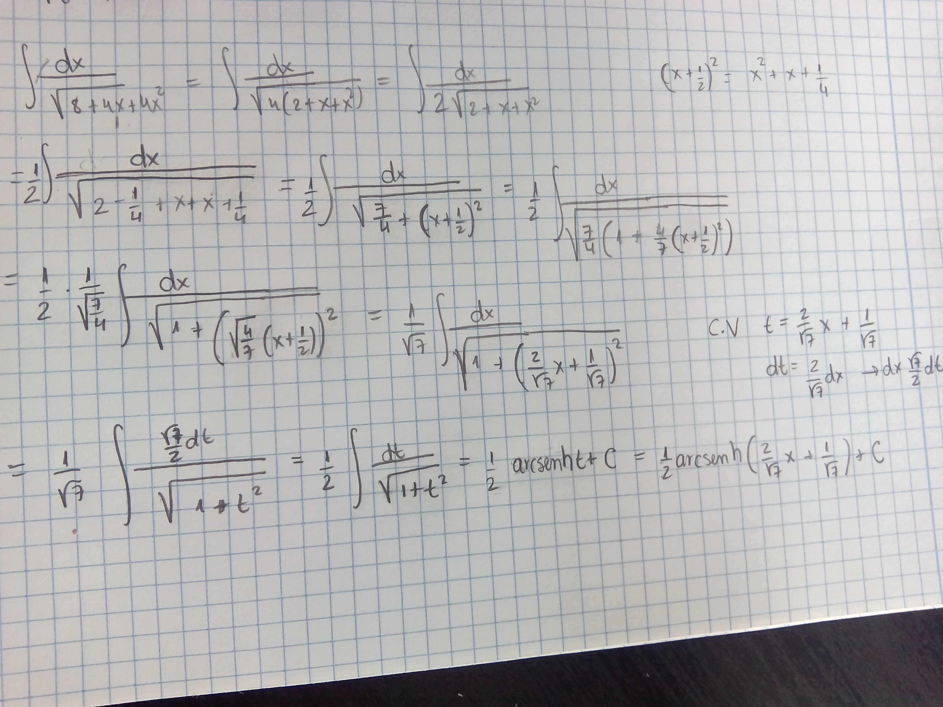
    ∫ {dx /√ (8+ 4x - 4x²) como se realiza esta integral? desde ya muchas gracias y saludos desde Salta-Argentina!

    replythumb_up0 voto/sflag
    icon

    JBalvin
    el 10/4/16

    Jacqueline aquí esta la solución partiendo ya que ∫dx/√(1+x^2) es una integral de tabla y da arcsenh(x) + C.
    Si no sabes como hacer esa integral me avisas y te digo como

    thumb_up0 voto/sflag
  • icon

    JBalvin
    el 10/4/16
    flagflag

    Hola quisiera saber como resolver este integral, ya intente con el cambio a polares desplazdo pero se me comlica mucho.
    Muchas gracias de antemano

    replythumb_up0 voto/sflag
    icon

    David
    el 12/4/16

    Me encantaría ayudarte, pero no respondo dudas universitarias que no tengan que ver específicamente con los videos que ya he grabado como excepcion. Lo siento de corazón… Espero lo entiendas

    thumb_up0 voto/sflag
  • icon

    Gaussiano
    el 10/4/16

    Hoola! Estaba dudando de si la integral de esta función, era cotgx o cosex, porque cosec x es la derivada de cotgx, y no sé cuál és. Gracias!

    replythumb_up0 voto/sflag
    icon

    antonella
    el 10/4/16

    Solo haz un cambio de variable senx=u -->cosxdx=du

    thumb_up1 voto/sflag
    icon

    Antonius Benedictus
    el 10/4/16

    ¡La integral del producto no es el producto de las integrales!

    thumb_up2 voto/sflag
    icon

    Jacqueline Cavanna
    el 10/4/16

    la integral de cosecx.cotgx dx... es -cosecx +c

    thumb_up1 voto/sflag
    icon

    ;-D
    el 10/4/16

    Antonio, lo borré porque ya lo había sacado. (Perdóname haberlo hecho) El área mínima me sale 3 m2. No hay máximo. Los otros dos lados miden 5/2 cada uno y el triángulo es isósceles. Gracias por haberlo resuelto. El del reloj del otro día no hace falta, era una broma de problema. :-) Como sé que te gustan los problemas de proporcionalidad :-)

    thumb_up1 voto/sflag
  • icon

    Miguel
    el 10/4/16

    Buenos días,

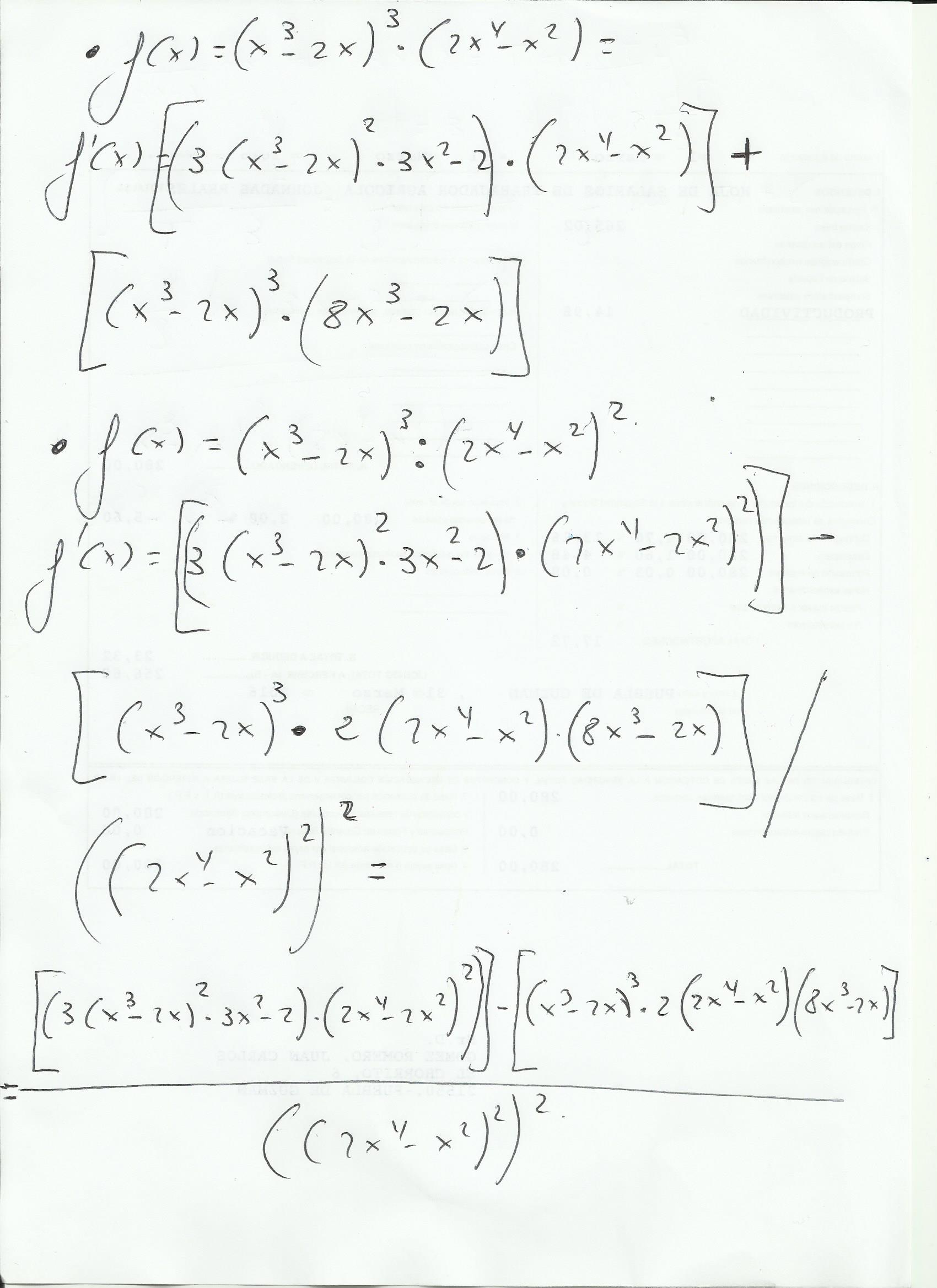
    ¿Alguien me puede echar una mano con estas derivadas que no acaba de salirme?

    (x^3 - 2x)^3 · (2x^4 - x^2)

    (x^3 - 2x)^3 : (2x^4 - x^2)^2

    Gracias, Un saludo

    replythumb_up0 voto/sflag
    icon

    Francisco Gutiérrez Mora
    el 10/4/16

    Miguel, te envío hechas las dos derivadas. He aplicado derivada del producto y de la división. No he simplificado nada, te las dejo igual han salido. Un Saludo.

    thumb_up1 voto/sflag
    icon

    Miguel
    el 10/4/16

    Muchas gracias, Francisco. Un saludo.

    thumb_up0 voto/sflag
  • icon

    Mauricio Medina
    el 10/4/16
    flagflag

    Hola buenas noches e podriana yudar con este problema de diferencial total.

    Se tiene un circuito con tres resistencias con R1=250 ohms en serie ,con un arreglo en paralelo de R2= 400 ohms y R3=150ohms

    El valor de la resistencia equivalente R sera mas sensible a la variacion de R1, R2 o R3 ?

    Gracias

    replythumb_up0 voto/sflag
    icon

    Gaussiano
    el 10/4/16

    Hoola! Esta duda va en el foro de física.

    thumb_up0 voto/sflag
    icon

    David
    el 10/4/16

    Y estaría genial que dejases un dibujo... Sobre todo porque el ejercicio es de TECNOLOGIA o ELECTROTECNIA.,.,.. Y si quieres que hagamos una excepcion (no resolvemos dudas de esas asignaturas en los foros), debes intentar aportar algo más.. Un abrazo!

    thumb_up0 voto/sflag
    icon

    Mauricio Medina
    el 11/4/16

    Pero no es pregunta en si de electricidad, es una pregunta de CALCULO VECTORIAL es sobre el diferencial total creeo que es con respecto al arbol de dependecias, solo queria saber el proceso a seguir

    thumb_up0 voto/sflag