Videos sobre operacines con funciones! por favor! :(
Tengo un ejercicio de algebra de universidad que no se por donde agarrar. Dado el conjunto E={x+y√ 2/x,y pertenecen a Q}, tengo que ver si (E,+) y (E,·) son grupos y si (E,+,·) es un anillo.
Con que me ayudéis con (E,+) o (E,·) me vale.
Hola, buenas a todos, el miércoles tengo examen de Econometrìa, y tengo una duda existencial ja ja ja
La verdad es que creo que la duda es de mis matemáticas pero no entiendo de donde sale el -0,6 del último paréntesis, el 0,8 lo he sacado sin problemas, pero no entiendo porque el segundo dato de la matriz es -0,6 y no entiendo porque no es -0,2 que es lo que me da a mi.
Esta corregido por la profesora, y en otro ejercicio que hemos hecho me pasa lo mismo.
Espero que alguien pueda resolverme esta duda, de si estoy multiplicando algo mal o es que no he cambiado algún signo. Se me ha olvidado decir que es regresion lineal multiple, pero vamos que mi duda no va de eso va sobre resolver -2/5 - 1*-0,2
hola ven que si encuentro un problema similar si puedo resover las cosas encontré este video similar https://www.youtube.com/watch?v=1jMMgcUvEpA
el problema que tengo ahorita
es en la suma de los valores absolutos |x-1|+|x+2|=6 entonces se realiza esta operacion
tenemos x-1 -x+1 si x es menor que 1
x-1 si x mayor o igual 1
y tenemos la de x+2 -x-2 si x es menor que 2
x+2 si x mayor o igual 2
ahora bien mi pregunta es lo que esta en rojito se mantiene el valor absoluto positvo o mas bien si pasa ser lo contrario es decir
tenemos x-1 -x+1 si x es menor que 1 observe -1 pasa a 1
x-1 si x mayor o igual 1
y tenemos la de x+2 -x-2 si x es menor que -2 observe -2 pasa 2
x+2 si x mayor o igual -2
Muy buenas tardes.
En este ejercicio me piden hallar el valor de m y n en una función a trozos para que cumpla el teorema del valor medio en el intervalo [-4 , 2] asi como los puntos del intervalo cuya existencia garantiza dicho teorema.
La función es:
f(x): x^2 + nx Si x=-2 (^ es el signo de elevado a...)
Hallé los valores de n y m y son respectivamente 16 y -20 . La única duda que me queda es, como hallo los puntos del intervalo que garantizan el teorema? Que ecuación he de utilizar para sustituir f'(c)?
hola un favor ya me dedique un par de días con estos problemas,pero como no he encontrado problemas similares,no he podido solucionarlos
x^2

Tienes muchisimos vídeos como estos, algunos casi identicos... Te sugiero todos los de inecuaciones, inecuaciones con valores aboslutos, inecuaciones de segundo grado...
Inecuaciones y sistemas Inecuaciones
A partir de ahí, se trata de que DESPUES DE IR A CLASE (ver los vídeos relacionados con vuestras dudas) enviéis dudas concretas, muy concretas. Y que nos enviéis también todo aquello que hayais conseguido hacer por vosotros mismos. Paso a paso, esté bien o mal. No solo el enunciado. De esa manera podremos saber vuestro nivel, en que podemos ayudaros, cuales son vuestros fallos.... Y el trabajo duro será el vuestro. #nosvemosenclase Nos cuentas ¿ok?
Unicoos necesito ayuda
Me podeis colocar esta funcion como funcion a trozos? Gracias
y=x|2x+4|
gracias
Hola chicos, necesito que me ayudeis a simplificar esta fraccion algebraica, tiene pinta de ser facil pero no se hacerla.
2+x² / x²
Gracias ;)
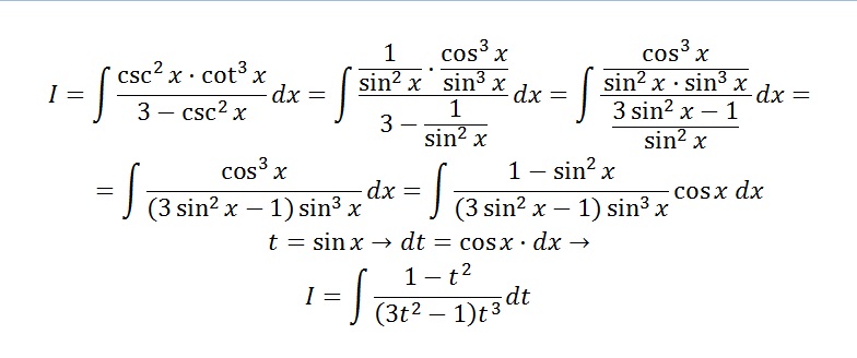
hola unicoos! he estado resolviendo integrales, y entre transformaciones con identidades, he llegado a esta integral, no se como resolverla, no veo ningun cambio de variable posible. Si alguien me pueden iluminar para saber que poder hacer, saludos! Cabe destacar que no puedo utilizar fracc. parciales, gracias :D