Problema de Matematicas.
Un automovilistasale de Madris a Barcelona a 68Km/hora Tarde en ir y volver 11 horas. Caluclar Espacio, la Velocidad, y el Tiempo.
Espacio ? 68 * 11 = 748 Kilometros.
Velocidad = 748 * 11 = 8´228.
Tiempo = 748 * 68 = 50´864.
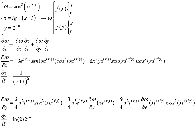
Alguien le entiende de casualidad a este ejercicio que me pueda ayudar, realice el arbolito pero no logre avanzar más :s , ayuda por favor

Problema de probabilidad
Estoy jugando a un juego en el cual cada ronda me dan 5 cartas negras o rojas, hay un 10% de que una de las 5 cartas sea roja ¿cual es la probabilidad de que salgan 2 cartas rojas? ¿Cual es la probabilidad de que la tercera carta sea roja(pudiendo no ser ninguna roja)?
Buenas tardes. Tengo dificultades con el siguiente ejercicio (no sé exactamente como plantearlo, dibujo la situación y se me ocurre que cada cabra puede abarcar la superficie que le permite la longitud de su cuerda formando circunferencias en el terreno...):
Dentro de un recinto vallado que tiene forma de triángulo equilátero, de 60 m de lado, hay tres cabras, cada una de las cuales están atada a un vértice del triángulo mediante una cuerda de 30 m de longitud. El propietario, tras vender dos de las cabras, alargando la cuerda de la cabra que le quedaba atada a un vértice, de forma que la superficie sobre la que podrá pastar era equivalente a la superficie sobre la que podrían pastar anteriormente las tres juntas. ¿Qué longitud le dio a la cuerda?
Muchas gracias de antemano. Saludos.
Buenas tardes, como distingo los temas que son de Matemáticas aplicadas? Estoy en tercero de la ESO. Muchas gracias de antemano.
hay muy poca diferencia,
en las académicas se profundiza más que en las aplicadas, pero los temas son los mismos.
Los contenidos de las dos materias se estructuran en los mismos 5 bloques:
Bloque 1: Procesos, métodos y actitudes en matemáticas Bloque 2: Números y álgebra
Bloque 3: Geometría
Bloque 4: Funciones
Bloque 5: Estadística y probabilidad
El bloque de “Procesos, métodos y actitudes en Matemáticas” se desarrolla de modo transversal y simultáneamente al resto de bloques.
En las Matemáticas orientadas a las Enseñanzas Académicas se fortalecen tanto los aspectos teóricos como las aplicaciones prácticas en contextos reales de los contenidos impartidos. Están orientadas a conseguir las competencias necesarias para estudiar Bachillerato.
En las Matemáticas orientadas a las Enseñanzas Aplicadas se hace hincapié en la aplicación práctica de los contenidos del curso en contextos reales frente a la profundización en los aspectos teóricos. Están orientadas a conseguir las competencias necesarias para estudiar Formación Profesional.
Las matemáticas académicas son más ampliadas y exigentes y las matemáticas aplicadas son más básicas.
La elección de las matemáticas de 3º ESO no es vinculante con respecto a la elección que debe hacerse después en 4º de ESO.