Hola buenas tardes unicoos!
Me pueden ayudar con este ejercicio de radicales? gracias.
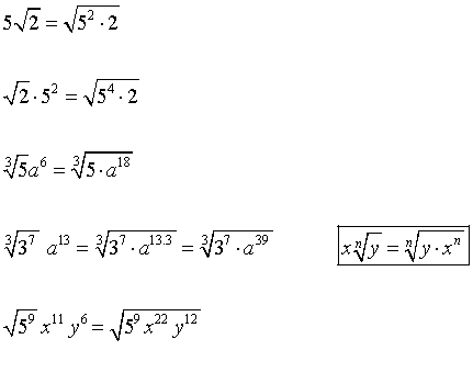
1.Introduce dentro del radical el factor o factores que están delante:
A) 5√2
la x en este caso es multiplicación.
√2 x 52 .
B) a2 ∛5
∛5 x a6 .
C) 32 a4 ∛3 x a
∛37 x a13 .
D) 52 x2 y 4√5 x3 y2
4√59 x11 y6 .
Hola tengo dudas con este ejercicio:
Usted quiere estimar el número de plantas necesarias para el cultivo de plantas de tomate que se puede sembrar en un terreno cuadrado de una hectárea de terreno cultivable. Si consideramos que la distancia entre cada planta de tomate es de 50 cm y la distancia entre cada linea de cultivo (surco) es de 1.5 m.
a) ¿Cual es el número de plantas que seria posible sembrar en la hectárea de terreno?
b) ¿Cual es el número de lineas de cultivos (surcos) posibles de generar en el terreno?
c) ¿Cual es el número de plantas a cultivar a partir del número de lineas de cultivo?
Lo que he hecho:
Tenemos que una gectarea son 1000 m2 .Por lo tanto cada lado del cuadrado tiene 100 metros que corresponden a 10000 cm . Como cada planta esta a 50cm , entonces en una linea puedo plantar 10000 : 50 = 200 plantas de tomate . La distancia entre cada linea es 1.5 m por lo cual en total tendré 100: 1.5 = 66.6 lineas .
El numero de plantas seria 200 x 66.6 = 13320 tomates.
¿Esta bien?

Se trata de que DESPUES DE IR A CLASE (ver los vídeos relacionados con vuestras dudas) enviéis dudas concretas, muy concretas. Y que nos enviéis siempre también todo aquello que hayais conseguido hacer por vosotros mismos. Paso a paso, esté bien o mal. No solo el enunciado. De esa manera podremos saber vuestro nivel, en que podemos ayudaros, cuales son vuestros fallos.... Y el trabajo duro será el vuestro.

Se trata de que DESPUES DE IR A CLASE (ver los vídeos relacionados con vuestras dudas) enviéis dudas concretas, muy concretas. Y que nos enviéis siempre también todo aquello que hayais conseguido hacer por vosotros mismos. Paso a paso, esté bien o mal. No solo el enunciado. De esa manera podremos saber vuestro nivel, en que podemos ayudaros, cuales son vuestros fallos.... Y el trabajo duro será el vuestro.