Foro de preguntas y respuestas de Matemáticas

logo beUnicoos
Los foros de unicoos se han unificado en nuestra nueva plataforma beUnicoos. Para dejar nuevas preguntas deberás hacerlo allí, donde además podrás encontrar nuevas asignaturas y herramientas para ayudarte más con tus estudios.

  • icon

    Sibi
    el 28/6/19

    Hola. Podrían ayudarme con estas preguntas. Sé las respuestas, pero no sé como se ha llegado a ellas.

    ¿Qué número mixto representa a la fracción 10/4?

    La respuesta estará entre 2 1/4 o 2 1/2

    ¿Cuál de las siguientes fracciones no está comprendida entre 5/6 y 7/8?
    Cuál de las siguientes fracciones no está comprendida entre 5/6 y 7/8?
    a) 17/ 20.
    b) 44/50.
    c) 21/25.
    d) 43/50.


    Si el cronómetro que marca la llegada de una carrera de marcha da un valor de 2h 56’ 43”,
    ¿qué momento representa 1h 58’ 55” respecto al tiempo de llegada? (-57’48”)

    replythumb_up0 voto/sflag
    icon

    César
    el 28/6/19


    thumb_up0 voto/sflag
  • icon

    miguel angel gomez repiso
    el 28/6/19

    Ejercicio de matematicas.

    Multiplicacion de quebrados.

    3           3              8 * 3            24

          x             =                   =

    8           4              8 * 4            32

    replythumb_up0 voto/sflag
    icon

    Guillem De La Calle Vicente
    el 28/6/19

    Recuerda que para multiplicar fracciones, se hace en línea recta:

    a           c            a * c

          x           =

    b          d            b * d

    En tu caso:

    3           3              3 * 3            9

          x             =                   =

    8           4              8 * 4            32

    Saludos.

    thumb_up0 voto/sflag
  • icon

    miguel angel gomez repiso
    el 28/6/19

    Ejercicio de matematicas.

    Reduccion de un numero mixto a quebrado.

               3          ( 2 * 4 ) + 3          11

    2  =           =                         =  

               4               4                        4

    replythumb_up0 voto/sflag
    icon

    Guillem De La Calle Vicente
    el 28/6/19

    Lo tiene bien: lo único que el primer igual, tendría que ser un más.

    Saludos.

    thumb_up0 voto/sflag
  • icon

    Yahir Hezbort
    el 28/6/19

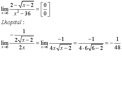
    Ayuda con esta indeterminación:


    replythumb_up0 voto/sflag
    icon

    Antonius Benedictus
    el 28/6/19


    thumb_up0 voto/sflag
    icon

    César
    el 28/6/19



    thumb_up0 voto/sflag
  • icon

    lucia1902
    el 28/6/19

    Ya sé como pasarla a rectangular, pero no me sale bien la factorización.

    ¿Como interpreto los siguientes items?

    7) Dada una función >>>>>>>> e) Calcular f(f(−1)).

    Y
    Representar graficamente la función g(x) = −f(x). 

    replythumb_up0 voto/sflag
    icon

    César
    el 28/6/19


    thumb_up0 voto/sflag
  • icon

    Mauricio Heredia
    el 28/6/19

    Ayuda por favor con el A2??? 


    replythumb_up0 voto/sflag
    icon

    Antonius Benedictus
    el 28/6/19


    thumb_up0 voto/sflag
  • icon

    Zanubia Nufuri
    el 28/6/19

    Por favor ... estoy re perdida con este ejercicio... gracias!

    replythumb_up0 voto/sflag
    icon

    César
    el 28/6/19

    A ver si te vale esto 


    thumb_up1 voto/sflag
    icon

    Guillem De La Calle Vicente
    el 28/6/19


    thumb_up1 voto/sflag
  • icon

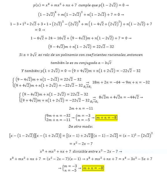
    Agustin
    el 27/6/19

    Me ayudarían con este ejercicio

    Probar que T:P2 ->P4 / T(P(x)) = x2 P(x) es una Transformación Lineal

    Gracias!

    replythumb_up0 voto/sflag
    icon

    Antonius Benedictus
    el 28/6/19


    thumb_up1 voto/sflag
  • icon

    Gerardo
    el 27/6/19

    Buenas. 

    Me están pidiendo:

    Determinar las dimensiones del triángulo isósceles del área mínima circunscrito a un círculo del radio R.

    No entiendo el planteamiento, qué podría hacer?


    Gracias!

    replythumb_up0 voto/sflag
    icon

    Guillem De La Calle Vicente
    el 27/6/19


    thumb_up0 voto/sflag
  • icon

    lucia1902
    el 27/6/19

    b) Necesito una recta contenida en ese plano así que el vector director de la recta tiene que ser perpendicular al vector normal del plano (1,2,1)

    Puedo elegir por ejemplo (1,-1,0) como vector director de la recta? Ya que (1,2,1)*(2,-1,0)=0

    Y elijo un punto que pertenezca al plano como (1,4,-3) que al reemplazarlo en la ecuación del plano da que pertenece a el

    replythumb_up0 voto/sflag
    icon

    Guillem De La Calle Vicente
    el 27/6/19

    Puedes coger como vector director de la recta el (2,-1,0), sí! Y como punto el (1,4,-3) perfecto!

    Entonces la ecuación paramétrica de esta recta es:

    x = 1 + 2t

    y = 4 - t

    z = -3

    Saludos.

    thumb_up1 voto/sflag
    icon

    lucia1902
    el 27/6/19

    Wiiiiiiiii que felicidad

    thumb_up0 voto/sflag