En este ejercicio estoy medio pérdida para plantear las ecuaciones para calcular l distancia.
Entiendo que es algo así como y^2+10^2=D^2 para obtener la distancia sobre el río pero luego no se que hacer. Les agradeceré su ayuda!
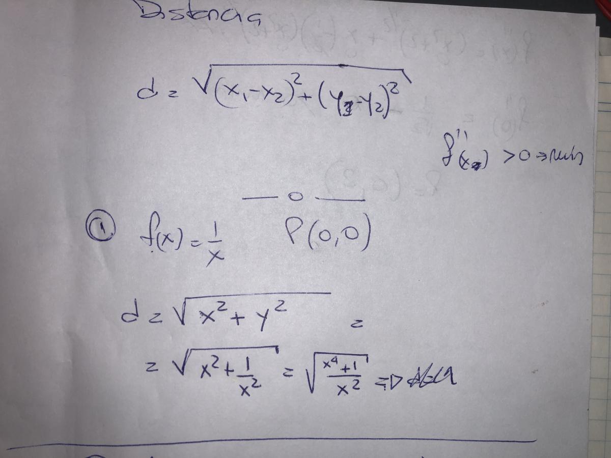
Hola! El ejercicio dice: halle los puntos del gráfico de la función f(x)=1/x que se encuentren más cerca del origen.
el problema es que al momento de reemplazar me queda una indeterminación.
Yo se que debería hallar el mínimo debo derivar e igualar a 0, pero algo estoy haciendo mal pues la derivada me queda 1/2*(x^3-(2x/x^6)) ... Me podrían ayudar?

Vamos con una orientación.
Planteas las expresiones de los puntos:
P(x,1/x) (punto genérico perteneciente a la gráfica de la función),
O(0,0) (origen de coordenadas);
luego, planteas la expresión de la distancia entre los dos puntos, y queda:
D(x) = √( (x - 0)2 + (1/x - 0)2 ), cancelas términos nulos en el argumento de la raíz cuadrada, resuelves potencias, y queda:
D(x) = √(x2 + 1/x2) (1) (observa que 0 no pertenece al dominio de esta función),
que es la expresión de la distancia en función de la abscisa del punto genérico perteneciente a la gráfica de la función.
Luego, planteas la expresión de la función derivada, y queda (observa que debes aplicar la Regla de la Cadena, y que presentamos su mínima expresión):
D ' (x) = (x - 1/x3)/√(x2 + 1/x2) (2).
Luego, planteas la condición de valor estacionario (posible máximo o posible mínimo), y queda:
D ' (x) = 0, sustituyes la expresión señalada (2) en el primer miembro, y queda:
(x - 1/x3)/√(x2 + 1/x2) = 0, multiplicas por √(x2 + 1/x2) en ambos miembros, y queda:
x - 1/x3 = 0, multiplicas por x3 en todos los términos de esta ecuación, y queda:
x4 - 1 = 0, sumas 1 en ambos miembros, y queda:
x4 = 1, extraes raíz cuarta en ambos miembros, y tienes dos opciones:
a)
x = -1, a la que corresponde el punto: A(-1,-1), cuya distancia al origen es: D(-1) = √(2);
b)
x = 1, a la que corresponde el punto: B(1,1), cuya distancia al origen es: D(1) = √(2).
Luego, puedes plantear la expresión de la función derivada segunda de la función distancia (te dejo la tarea de derivar la expresión señalada (2) que tienes indicada), y podrás verificar que la función derivada segunda toma valores positivos para los dos valores estacionarios que hemos remarcado, por lo que tienes que la gráfica de la función distancia es cóncava hacia arriba para ambos valores estacionaros, por lo que éstos corresponden a puntos que se encentran a mínima distancia del origen de coordenadas.
Espero haberte ayudado.
Antía, Lola y María empatan en un concurso. Para desempatar se meten en una bola dos bolas negras y una blanca. Quien saque la blanca gana. La sacarán por orden alfabético y la bola no vuelve a la bolsa.
A) Calcula la probabilidad que tiene cada una de ganar.
B) Si se añade otra bola blanca, calcula las probabilidades de cada una otra vez, teniendo en cuenta que gana quien saque primero una bola blanca.
A)
Bolsa inicial: 2 bolas negras, 1 bola blanca.
Primera tirada: Antía. La probabilidad de que gane es de 1/3 y la probabilidad de que no gane es de 2/3. Si gana, el juego se termina aquí.
Segunda tirada: Lola. La probabilidad de que gane es de (2/3) · (1/2) = 1/3. La probabilidad de que no gane es de 1/3 también si llegamos a aquí.
Tercera tirada: María. La probabilidad de que gane es de (2/3)·(1/2)·1 = 1/3. La probabilidad de que no gane es de 0 si llegamos a aquí.
Cada una tiene la misma probabilidad de ganar: 1/3.
B)
Bolsa inicial: 2 bolas negras, 2 bola blanca.
Primera tirada: Antía. La probabilidad de que gane es de 2/4 = 1/2 y la probabilidad de que no gane es de 1/2. Si gana, el juego se termina aquí.
Segunda
tirada: Lola. La probabilidad de que gane es de (1/2) · (2/3) = 1/3. La
probabilidad de que no gane es de (1/2) · (1/3) = 1/6 si llegamos a aquí.
Tercera tirada: María. La probabilidad de que gane es de (1/2)·(1/6)·1 = 1/12. La probabilidad de que no gane es de 0 si llegamos a aquí.
Antía tiene una probabilidad de 1/2, Lola de 1/3 y María de 1/12.
Saludos.
Ejercicio de Matematicas.
Un trozo de Metal pesa 6472 Gramos y su Volumen es de 400 Cm3 ¿ Cual es su densidad ?
P 6472
D = = = 16´18 Es su densidad.
V 400
Un trozo de metal pesa 8674 Gramos y su Volumen es de 500 Cm3 ¿ Cual es su densidad ?
P 8674
D = = = 17´348 es su densidad.
V 500
Recuerda que la densidad es masa partido por volumen:
ρ = m/V
Entonces, en el primer caso tienes que la densidad del metal es de:
ρ = m/V = (6472 g) / (400 cm3) = 16,18 g/cm3.
En el segundo caso, tienes que la densidad del metal es:
ρ = m/V = (8674 g) / (500 cm3) = 17,348 g/cm3.
Te faltaban las unidades solo, lo otro lo tenías bien.
Saludos.
Hola, alguien me aclara la duda? Está bien planteado eso? Porque a mi parecer a la recta r en realidad le pusieron 2 rectas.
Si solo fuera la recta de abajo, entonces necesito que el vector director de la recta y el vector normal del plano sean ortogonales, no?
Es correcto si hago (1,-2,1)*(1,-1,a) = 0
Entonces a=-3 ??
Hay varias formas de hacerlo, siguiendo tu idea
en primer lugar hallo el vector director de la recta, multiplicando vectorialmente los vectores normales de los dos planos que la definen, daría (1,-3,1) x (1,-1,a) = (1-3a,1-a,2)
en segundo lugar obligo a que el vector director de la recta sea perpendicular al normal del plano, para ello, el producto escalar de ambos vectores debe ser nulo, es decir, (1-3a,1-a,2) · (1,-2,0) = -a-1 = 0
siendo la solución a=-1
Sea M es la matriz de coeficientes y M* la mariz ampliada
Det(M)=5a-35
a) si a≠7 entonces rango(M)=rango(M*)=3 por lo que los tres planos se cortan en un punto (independientemente de lo que valga b
b) si a=7 y b≠3 entonces rango(M)=2≠3=rango(M*) por lo que los tres planos se cortan en una recta (o pasan por una recta en común)
c) si a=7 y b=3 entonces rango(M)=2=rango(M*) por lo que los tres planos se cortan dos a dos en una recta (o sea se cortasen tres rectas paralelas distintas)

Para saber si es linealmente dependiente o independiente tendrás que resolver el determinante formado por los 3 vectores.
Si el resultado es 0 será l.d.
Para los demás apartados te dejo unos vídeos del profe que, como excepción, grabó sobre este tema, pero poco más puedo ayudarte.
Recuerda que unicoos aborda exclusivamente dudas de secundaria y bachiller ;)