Foro de preguntas y respuestas de Matemáticas

logo beUnicoos
Los foros de unicoos se han unificado en nuestra nueva plataforma beUnicoos. Para dejar nuevas preguntas deberás hacerlo allí, donde además podrás encontrar nuevas asignaturas y herramientas para ayudarte más con tus estudios.

  • icon

    Cristina Iriarte Alvarez
    el 9/6/19

    No se como resolver este ejercicio , me podrías ayudar. Gracias

    replythumb_up0 voto/sflag
    icon

    Antonius Benedictus
    el 9/6/19


    thumb_up1 voto/sflag
    icon

    Antonius Benedictus
    el 9/6/19


    thumb_up1 voto/sflag
  • icon

    Adriana
    el 9/6/19

    Cómo se representaría la función a), y cual sería su monotonía?

    replythumb_up0 voto/sflag
    icon

    Antonius Benedictus
    el 9/6/19



    La función es estrictamente creciente en todo su dominio (x>3)

    thumb_up0 voto/sflag
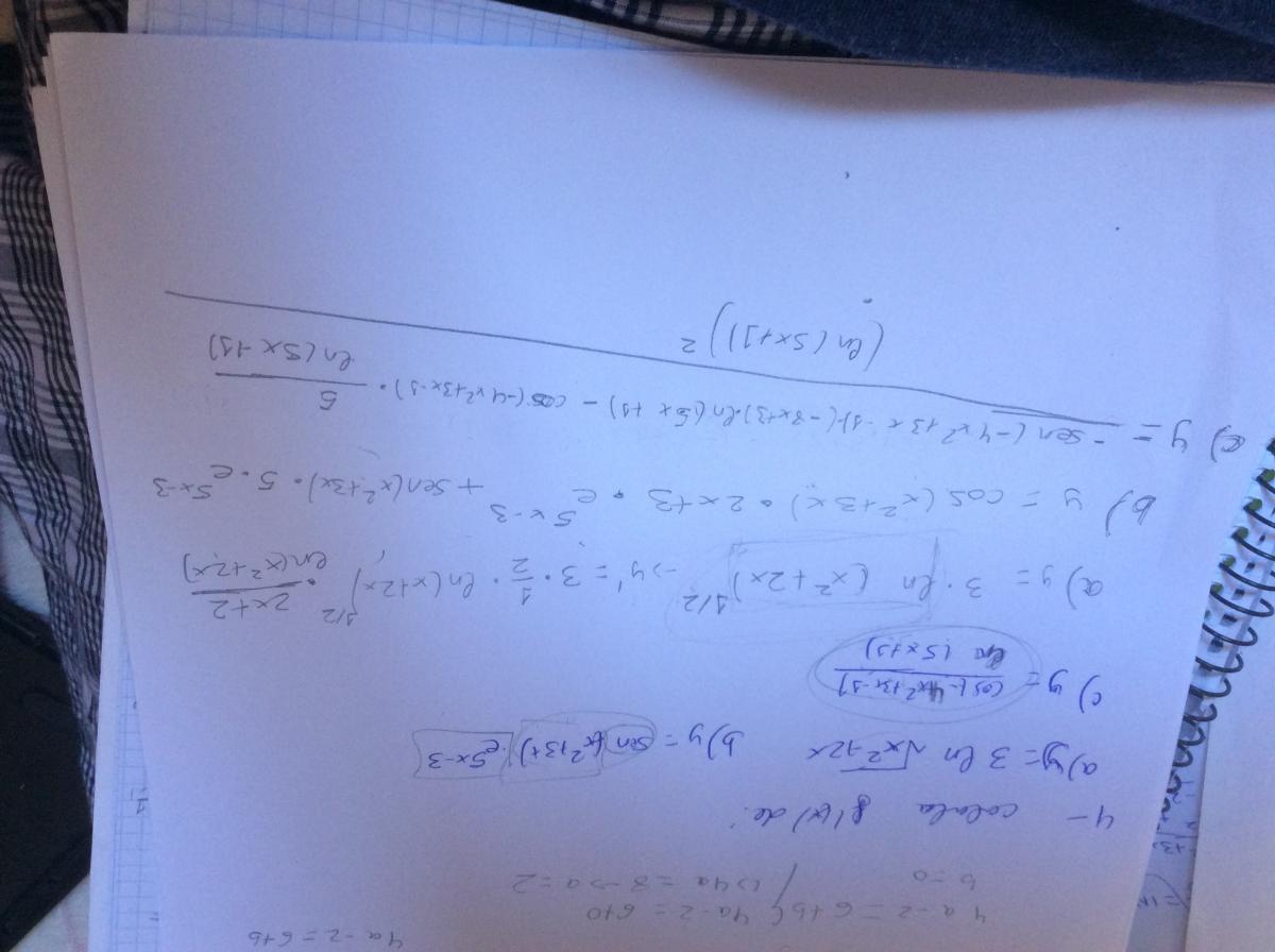
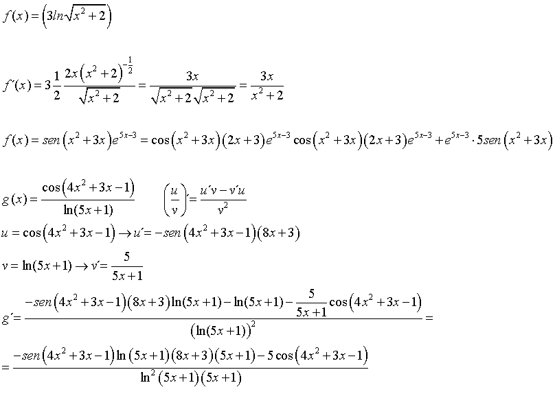
  • icon

    Daniel Haro
    el 9/6/19

    Hola, buenas tardes, estoy repasando derivadas y no sé si tengo el ejercicio bien, me lo podríais decir y en el caso de error, solventarlo, muchas gracias

    replythumb_up0 voto/sflag
    icon

    César
    el 9/6/19


    thumb_up0 voto/sflag
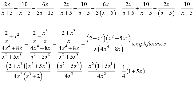
  • icon

    Mary Poppins
    el 9/6/19

    ¿Me podrían ayudar con este ejercicio? Muchas gracias. 

    replythumb_up0 voto/sflag
    icon

    César
    el 9/6/19


    thumb_up1 voto/sflag
    icon

    Mary Poppins
    el 9/6/19

    ¡Muchas gracias!

    thumb_up0 voto/sflag
  • icon

    Hafssa
    el 9/6/19

       quien me puede ayudar en sacar la n no se como se saca. que alguien me ayude por el amor de dios


    replythumb_up0 voto/sflag
    icon

    César
    el 9/6/19

    icon

    Hafssa
    el 9/6/19

    no entiendo es una asintota oblicua , y la m es igual a 3 ,pero no se como sacar la  n , me lo explicas porfaa


    thumb_up0 voto/sflag
    icon

    César
    el 9/6/19


    thumb_up1 voto/sflag
  • icon

    Aaron
    el 9/6/19

    ¿Cuál es la diferencia entre calcular el vector director de una recta como el producto vectorial de dos planos y calcular el mismo vector planteando un sistema compatible indeterminado? ¿Cuál procedimiento sería más correcto cuando te piden que halles el plano paralelo a esa recta y en donde esta contenido otra? (Dandote la recta paralela como intersección de dos planos)

    replythumb_up0 voto/sflag
    icon

    César
    el 9/6/19

    Ambos son correctos, quizás si solo necesitas el vector director sea más rápido el producto vectorial.

    thumb_up1 voto/sflag
  • icon

    Adriana
    el 9/6/19

    Cual sería el dominio de estas dos funciones?

    replythumb_up0 voto/sflag
    icon

    César
    el 9/6/19

    a)

    en x=3 discontinuidad 

    b)

    5x-10>=0     x>=2


    thumb_up0 voto/sflag
  • icon

    Adriana
    el 9/6/19


    replythumb_up0 voto/sflag
    icon

    Breaking Vlad
    el 23/6/19

    Hola Adriana,

    no has escrito ninguna duda.

    thumb_up0 voto/sflag
  • icon

    Víctor Miranda
    el 9/6/19

    Un mapa esta hecha a una escala 1:200000. En el hay un lago cuya superficie tiene un área de 70 km2.  Calcula el área de la superficie que tendrá el lago en el mapa. 

    replythumb_up0 voto/sflag
    icon

    César
    el 9/6/19

    Area en mapa =Media real/Escala^2

    (1 m^2 = 10000 cm^2)   1km^2=1 10^(10)cm2

    =70 10^(10)/200000^2=35/2 cm^2



    thumb_up0 voto/sflag
  • icon

    Alejandro Mayor
    el 9/6/19

    Pero Cesar haciendo todos los determinantes posibles con alfa =1 me dan todos 0, y la teoria dice que si todos los determinantes posibles de orden 3 dan igual a 0, el rango es 3. Ahi mi duda espero me la puedas resolver

    replythumb_up0 voto/sflag