AYUDADME PORFAVOR ES URGENTE
Un empresario de la construcción sabe que, para la reforma de una cocina, puede cobrar a su cliente 18000 € como máximo. El material le cuesta 9000 € y quiere sacar 3000 de beneficio. Si paga sus empleados a 40 € la hora de trabajo, de cuantas horas disponen para tener lista la obra?

Planteas la expresión de la suma total que debe pagar como salarios en función de la cantidad de horas de trabajo necesarias (x), y queda:
S(x) = 40x (1) (en euros).
Luego, planteas la expresión del beneficio en función de las cantidades que tienes en tu enunciado y de la expresión señalada (1), y queda:
B(x) = 18000 - 9000 - 40x, reduces términos numéricos, y queda:
B(x) = 9000 - 40x (2) (en euros).
Luego, planteas la condición de beneficio esperado:
B(x) = 3000, sustituyes la expresión señalada (2), y queda:
9000 - 40x = 3000, restas 9000 en ambos miembros, y queda:
-40x = -6000, divides por -40 en ambos miembros, y queda:
x = 150 horas.
Espero haberte ayudado.

Tienes la expresión del primer factor, al que puedes expresar en una misma base, por ejemplo en base diez:
logab = aplicas el cambio a base diez = log(b)/log(a) (1).
Tienes la expresión del segundo factor, al que expresas en base diez:
logba = aplicas el cambio a base diez = log(a)/log(b) (2).
Luego, tienes la expresión de tu enunciado:
logab * logba =
sustituyes las expresiones señaladas (1) (2), y queda:
= log(b)/log(a) * log(a)/log(b) =
simplificas (observa que los factores son recíprocos entre sí), y queda:
= 1.
Espero haberte ayudado.ro haberte ayudado.
Buenas, tengo dudas con los ejercicios siguientes:
1. LA DIAGONAL DEL CUADRADO. ¿En qué porcentaje aumenta la diagonal de un cuadrado cuando su lado, de medida 4 (u), aumenta en la unidad?
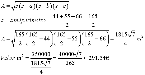
2. ¿A qué precio estará el metro cuadrado en una parcela triangular cuyos lados miden 44, 55y 66 metros. Si el valor total asciende a 350000€?
! Muchas gracias de antemano !
Buenas, alguien me puede echar una mano? Aplico el teorema del seno para averiguar el valor del ángulo obtuso y su valor me da menos de 90 grados

Planteas el Teorema del Seno, y queda:
senβ/b = senγ/c,
y de aquí despejas:
senβ = b*senγ/c,
reemplazas valores, y queda:
senβ = 8,06*sen(23,39ª)/4,
resuelves, y queda:
senβ ≅ 0,7999,
luego, compones en ambos miembros con la función inversa del seno, recuerda que la función seno toma valores positivos en el primer y en el segundo cuadrante, y tienes dos opciones:
β1≅ 53,1234ª (en el primer cuadrante),
β2≅ 180º - 53,1234º ≅ 126,8766º (en el segundo cuadrante).
Espero haberte ayudado.