Hola ,buenos días ! Tengo problemas con este enunciado.
1- Encontrar las diferentes ecuaciones de los siguientes enunciados
a-Pasa por los puntos (5,-3) y (6,-4) ---- en este caso se hacerlo si es una recta,pero no lo dice el enunciado
muchas gracias
No es una pregunta es un ejercicio.
Un hombre tiene un presupuesto de 116000 euros, compra un terreno por 4600o euros, paga sueldos de personal por 49000
euros, y compra material de construccion por 16000 euros, durante 9 meses, este hombre amortizara al año o 360 dias la
cantidad de 8100 euros a los 90 dias o de diferencia entre los 9 meses al año o 360 dias.gracias.
Se puede escribir problemas de calculo matematico, gratis, gracias, por que la verdad es muy interesante este blog para
apreder matematicas y perfeccionarlas.
Buenas!
Tengo una duda sobre los SCI en matrices.
Que ecuacion puedo eliminar para sacar la solución con las otras dos?
He leido que tengo que hacerlo con las dos ecuaciones que me han asegurado rango 2 pero y si hay mas de dos? Adjunto imagen
En este caso elimina la tercera porq dice que el det 2x2 de las fos primeras ecuaciones le asegura el rango 2 pero tambien me lo asegura el det 2x2 de la primera y tercera y el de la segunda y tercera. Alguna ayuda?Está correctamente descompuesto en factores?
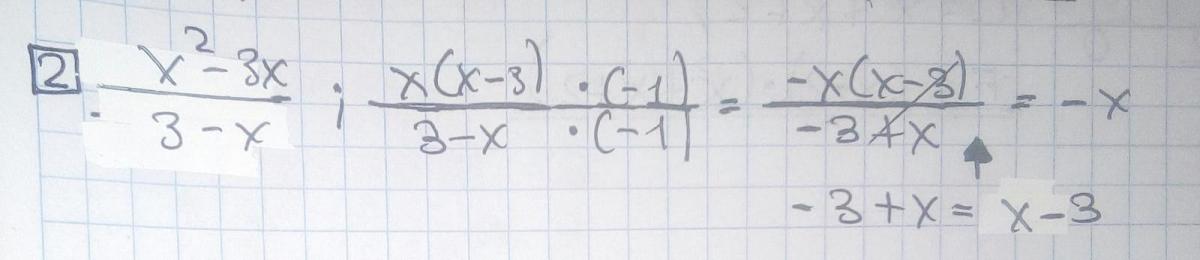
La solucción me dice que el último -3(y+2), debería ser -3(y-2) pero no entiendo de donde sale el -2!

Tienes toda la razón, pero ...hay alguna regla clara para sacar factor común que lo acompañe? yo me fundamentaba que cuando sacaba factor común en otros ejercicios , siempre se mantiene el mismo signo dentro de la parte que sacas el factor común y es lo que extraes lo que cambia de signo en función si dicho factor común tiene una parte o su totalidad en otro signo.
Buenas, el ejercicio que no consigo resolver es el siguiente:
1. LA LATA DE ACEITE: en la figura puede verse el desarrollo plano de una lata de aceite. Dos de las caras son cuadrados cuyos lados tienen longitud doble que la altura de la lata. Si med (PQ) = 54,1cm, ¿cuál será su capacidad en litros?

Se trata de que DESPUES DE IR A CLASE (ver los vídeos relacionados con vuestras dudas) enviéis dudas concretas, muy concretas. Y que nos enviéis siempre también todo aquello que hayais conseguido hacer por vosotros mismos. Paso a paso, esté bien o mal. No solo el enunciado. De esa manera podremos saber vuestro nivel, en que podemos ayudaros, cuales son vuestros fallos.... Y el trabajo duro será el vuestro.