Foro de preguntas y respuestas de Matemáticas

logo beUnicoos
Los foros de unicoos se han unificado en nuestra nueva plataforma beUnicoos. Para dejar nuevas preguntas deberás hacerlo allí, donde además podrás encontrar nuevas asignaturas y herramientas para ayudarte más con tus estudios.

  • icon

    d tavare
    el 8/5/19

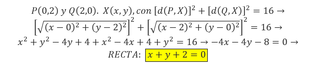
    Ayúda xfa.. Hallar la ecuación del lugar geométrico del conjunto de puntos que se mueven de tal manera que la suma del cuadrado de las distancias al punto (0,2) y al punto (2,0) es 16.

    replythumb_up0 voto/sflag
    icon

    Antonius Benedictus
    el 8/5/19


    thumb_up0 voto/sflag
  • icon

    pardo
    el 8/5/19

    necesitos las respuestas para saber si lo hice bien

    replythumb_up0 voto/sflag
    icon

    Antonius Benedictus
    el 8/5/19

    Pon tus desarrollos y los vemos.

    thumb_up0 voto/sflag
  • icon

    lucia1902
    el 8/5/19

    Alguien me puede ayudar con este problema? 

    replythumb_up0 voto/sflag
    icon

    Antonius Benedictus
    el 8/5/19


    thumb_up1 voto/sflag
  • icon

    Sergio Sangiani
    el 8/5/19

    Buenas me podrian ayudar a resolver estos ejercicios o al menos uno, gracias!



    replythumb_up0 voto/sflag
    icon

    Antonius Benedictus
    el 8/5/19

    icon

    Sergio Sangiani
    el 8/5/19

    Pero no entiendo el ejercicio, a que se refiere con "C" o que es profe, x eso con uno resuelto me puedo guiar gracias

    thumb_up0 voto/sflag
  • icon

    Isa Olmedo Intriago
    el 8/5/19

    holaa... necesito ayuda con este ejercicio.

    Dados el punto P(1,1,1), la recta r: (x, y, z)=(t+1, 2t, 3t) y el plano π: x-2y-z=0  se pide:

    a) ecuación del plano que pasa por P y es paralelo a π.

    b) ecuación del plano que contiene a r y pasa por P.

    es super urgente de verdad muchas gracias 

    replythumb_up0 voto/sflag
    icon

    Antonius Benedictus
    el 8/5/19


    thumb_up1 voto/sflag
  • icon

    Ilyas Taluego
    el 7/5/19

    Hola, necesito ayuda con dos pequeños ejercicios, en el segundo de ellos necesito una explicación de como se hace:

    1) Calcula el área lateral y total de un ortoedro de dimensiones 4cm, 5cm y 6cm

    2) Una empresa fabrica envases de medio litro de base cuadrada. ¿Cuánto cartón se necesita para cada envase?

    Se agradecería mucho la ayuda. Un saludo

    replythumb_up0 voto/sflag
    icon

    Ramón
    el 7/5/19

    Hola ilyas,

    Ayudaría si haces un dibujo del ortoedro, primero en volumen, como una caja de zapatos y luego su despliegue en el plano.

    1) Si el ortoedro es de 4x5x6 cm, su area lateral sera:

    Área lateral = 2·(4·5 +4·6+5·6)

    2) Para el segundo apartado, ¿puede que falte un dato o una condición?, ¿que se utilice el mínimo cartón posible?


    V = b2 · h

    500 = b2 · h

    Saludos

    Ramón

    thumb_up0 voto/sflag
  • icon

    Emi Alonso
    el 7/5/19

    Por favor podrías resolver este ejercicio de selectividad?? 

    replythumb_up0 voto/sflag
    icon

    Antonius Benedictus
    el 7/5/19


    thumb_up0 voto/sflag
    icon

    César
    el 7/5/19


    thumb_up0 voto/sflag
  • icon

    Patricio
    el 7/5/19

    AYUDA PORFAVOR

    Los beneficios netos de una empresa, en millones de euros, se pueden aproximar mediante la expresion
    f(t) = (30t −60)/(5t +7)

    donde t > 0 representa los a˜nos de vida de la empresa.

    Explicar razonadamente a partir de que año la empresa obtiene beneficios netos no negativos.
    ¿Pueden crecer indefinidamente los beneficios netos de la empresa a medida que transcurre el tiempo t? En caso afirmativo, justificarlo formalmente. En caso negativo, determinar un valor que limite
    superiormente dichos beneficios netos.


    replythumb_up0 voto/sflag
    icon

    César
    el 7/5/19


    thumb_up1 voto/sflag
    icon

    Patricio
    el 7/5/19
    Flag pendiente

    pero que hiciste?'


    thumb_up0 voto/sflag
    icon

    César
    el 7/5/19

    Pues resolverlo no?


    thumb_up0 voto/sflag
  • icon

    MUSAN
    el 7/5/19

    Hola, alguien me puede ayudar con el siguiente problema de probabilidad: En una reunión de 25 personas 17 hablan francés y 22 inglés. Calcula la probabilidad de que al formarse al azar un grupo de dos personas no puedan comunicarse.

    replythumb_up0 voto/sflag
    icon

    Ramón
    el 7/5/19

    Hay 11 personas que solo hablan un idioma: 3 no hablan inglés y 8 no hablan francés)


    thumb_up0 voto/sflag
  • icon

    Lucas Rotela
    el 7/5/19

    Hola alguien me puede ayudar con el estudio cometo de esta funcion ( dominio , asintotas , interseccion con los ejes , puntos criticos maximo y minimos , puntos de infleccion ) 

    replythumb_up0 voto/sflag
    icon

    César
    el 7/5/19


    thumb_up1 voto/sflag