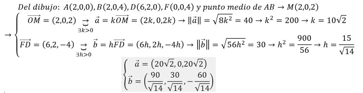
Hola Unicoos:
A ver si alguien puede echarme una mano con esta duda:
Cuando he ido a resolver el siguiente ejercicio, he visto que la respuesta correcta es la C. Pero cuando yo he operado la respuesta que primero me ha salido ha sido la a, el razonamiento que he usado es que el rango de A es 2 y el de la ampliada es 3 y es un sistema incompatible. Al ver la solución he visto que ponía la C, lo cuál me gustaría que me explicarais a que es debido.
Luego lo he intentado resolver sustituyendo el valor y hallando el determinante de la ampliada de A con cada uno de los valores y no se que es lo que estoy haciendo mal, pero tanto el caso b como en el c el determinante que me da es distinto de 0. Por lo que en este punto me he quedado atascado y me gustaría que me ayudaraís a ver que es lo que estoy haciendo mal.
Un saludo y gracias.
Hola. Buenas noches.
Queria saber cual sería la diferencia entre estos dos enunciados, ya que parecen similares pero difieren en una palabra. quería corroborar su resolución. Desde ya muchas gracias.
A) Determinar si la recta R:(x;y;z) = (-1;3;4) + t(2;-3;1) pertenece al plano x+y+z=6.
B) Hallar la intersección, si existe, entre la recta R:(x;y;z)=(-1;3;4) + t(2;-3;1) y el plano π:x+y+z=6.
Hola, tengo una duda con respecto al estudio de la continuidad de las funciones a trozos. Generalmente estas tienen unas cifras para mediante límites acercarnos a un punto del valor de X y saber si es continua o no. Por ejemplo: x<5
5<x<7
7<x
Sin embargo en estos dos ejercicios no aparecen estas cifras como referencia, solo una igualdad y una desigualdad en x=0 (Adjunto imagen)
¿Cómo averiguo la continuidad en este caso?
Hola necesito ayuda con el siguiente ejercicio, alguien me puede ayudar??? Gracias
1. Tenemos un mapa de España a escala 1:150 000.
a) Si realizamos una fotocopia reducida al 60 %, ¿cuál será la nueva escala?
b) Y si hacemos una ampliación de dicho mapa al 120 %, ¿cuál será la nueva escala?
c) Si la distancia real entre dos pueblos de Cantabria es de 15 km, ¿qué distancia habrá entre los dos pueblos en cada uno de los tres mapas?
Hola buenas tardes, necesito ayuda porfiiii, graciasss
1. Tenemos un rectángulo de 2 centímetros de ancho y 3,5 centímetros de alto. ¿Cuál será la superficie de un rectángulo cuyos lados miden el triple? ¿Y la razón entre las áreas de dichos rectángulos?

Tienes las medidas de los lados del rectángulo original: a = 2 cm y h = 3,5 cm,
y la expresión de su superficie queda: s = a*h = 2*3,5= 7 cm2.
Luego, tienes que las medidas del nuevo rectángulo quedan expresadas:
A = 3*2 = 6 cm,
H = 3*3,5 = 10,5 cm,
y la expresión de su superficie queda:
S = A*H = 6*10,5 = 63 cm2 (2).
Luego, planteas la razón entre las superficies, y queda:
r = S/s, sustituyes expresiones, y queda:
r = A*H / a*h, sustituyes expresiones en el numerador, y queda:
r = (3*a)*(3*h) / a*h, resuelves la expresión en el numerador, y queda:
r = 9*a*h / a*h, simplificas, y queda:
r = 9.
Espero haberte ayudado.
Hola buenas tardes, necesito ayuda con el siguiente ejercicio, muchas gracias
1. En un triángulo rectángulo la hipotenusa mide 5 cm y uno de los catetos 3 cm.
a) ¿Cuánto mide el otro cateto?
b) Halla la medida de los segmentos en los que queda dividida la hipotenusa al trazar la altura sobre ella.
c) ¿Cuánto mide dicha altura?
d) Realiza un dibujo en el que se representen todas las longitudes calculadas.
a)https://www.vitutor.com/geo/eso/as_5.html Teorema de Pitagoras
b) https://www.vitutor.com/geo/eso/as_4.html teorema de la altura