Foro de preguntas y respuestas de Matemáticas

logo beUnicoos
Los foros de unicoos se han unificado en nuestra nueva plataforma beUnicoos. Para dejar nuevas preguntas deberás hacerlo allí, donde además podrás encontrar nuevas asignaturas y herramientas para ayudarte más con tus estudios.

  • icon

    Yauset Cabrera
    el 18/4/19

    Hola buenas. Quería saber si un logaritmo complejo puede ser escrito en cualquier base.

    Es decir, en vez de ln z= ln|z|+i· arg(z); ¿Podría usar: log_n (z)=log_n (|z|) + i·arg(z)?.

    Muchas gracias

    replythumb_up0 voto/sflag
    icon

    Antonius Benedictus
    el 18/4/19

    Para w=b real, también.

    thumb_up1 voto/sflag
  • icon

    Dore
    el 18/4/19

    Hola, podrían decirme como hacer los problemas así? Es decir si hay una formula que se aplique siempre o no, gracias

    En una Universidad, el año 2002 había matriculados 10 400 alumnos, y en el año 2007, 13 200.Estimar cuántos había:

    a) En el año 2003. b) En el 2005. c) En el 2000. d) ¿Cuántos cabe esperar que haya en el 2010? e) ¿Y en el 2040? 



    replythumb_up0 voto/sflag
    icon

    César
    el 18/4/19


    thumb_up0 voto/sflag
  • icon

    Emma Sierra
    el 18/4/19

    x2dy = (1 − y)dx Hola Unicoos! He resuelto esta ecuación diferencial con valor inicial y(1)=2 y me sale como solución general e-x-1+K 

    y resolviendo con el valor inicial la K me da 1. ¿Sería correcto?

    Un saludo y muchas gracias!!!!

    replythumb_up0 voto/sflag
    icon

    César
    el 18/4/19


    thumb_up0 voto/sflag
  • icon

    william
    el 18/4/19

    Buenas noches Unicoos

    Me pueden ayudar a solucionar este problema no lo logre resolver muchas gracias.

    Solidos de revolución

    Hallar el volumen del solido generado al rotar alrededor del eje x la región acotada por las gráficas de f(x)=√4x

     entre las rectas x=0 y x=3. Representar en Geogebra las regiones a rotar y anexar un pantallazo.  


    replythumb_up0 voto/sflag
    icon

    César
    el 18/4/19

  • icon

    lbp_14
    el 18/4/19

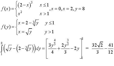
    Hola Unicoos

    No consigo plantear el área, y no consigo obtener los puntos de corte con y=8

    Creo que voy mal, Me podrían ayudar?, muchas gracias


    replythumb_up0 voto/sflag
    icon

    César
    el 18/4/19


    thumb_up0 voto/sflag
  • icon

    lbp_14
    el 18/4/19

    Hola Unicoos

    Cómo se resuelve la siguiente ecuación sin hacer el binomio al cubo?

    Muchas gracias

    (2-x)^3 - 8 = 0

    replythumb_up0 voto/sflag
    icon

    David
    el 18/4/19

    (2-x)3=23

    como están elevados a la misma potencia ambos términos de la ecuación, las bases deben salir iguales. y llegarás a que x=0

    thumb_up0 voto/sflag
  • icon

    marta
    el 17/4/19

    marta
    hace 1 día, 19 horas 

    Agamen el favor de ayudarme en este problema.

    *una empresa se encuentra vendiendo 1645 acciones de su compañía en la bolsa de valores el corredor  informa   que cada acción presenta un valor de $33561 si un inversionista desea  comprar todas las acciones, ¿cuanto debe invertir para ello?

    *si el mismo inversionista se da de cuenta que tiene solo $56.641.500

    Responde: 

    A. ¿cuantas acciones debe comprar?

    B. ¿cuantas acciones quedan para la venta?

    C. ¿cuantas acciones mas compro el accionista?


    NE SITO QUE ME LOS AYUDEN A ASER LO   MAS RÁPIDO POSIBLE  MUCHAS GRACIAS.


    replythumb_up0 voto/sflag
    icon

    César
    el 17/4/19


    thumb_up1 voto/sflag
  • icon

    marta
    el 17/4/19

    me pueden hacer el favor de ayudarme en este problema.

    *un alpinista desciende  por alguna de las montañas de los Alpe suizos. y lleva un ritmo de 20 metros descendiendo por cada 5 minutos. si al empestar se encontraba a 1750 metros de altura  y a pasado 1 hora y 15 minutos, ¿cuantos metros a descendido el alpinista?   ¿cuanto le faltan por descender?.

    muchas gracias.

    replythumb_up0 voto/sflag
    icon

    César
    el 17/4/19


    thumb_up1 voto/sflag
  • icon

    Borja
    el 17/4/19

    Hola ¿Podrían explicarme de qué número se trata y como resolverlo? No sale en mis apuntes. Muchas gracias. 

    replythumb_up0 voto/sflag
    icon

    César
    el 17/4/19

  • icon

    Leire
    el 17/4/19

    Hola!! Me podrian explicar que es el signo de una funcion y como se averigua. Es que no entiendo como se hace este ejercio. Os mando el ejercicio y la solución que nos la ha dado la maestra pero no nos ha explicado como se hace. 

    Muchisimas gracias!!

    replythumb_up0 voto/sflag
    icon

    César
    el 17/4/19

    Mírate este vídeo y nos cuentas

    https://www.youtube.com/watch?v=co3X6YWpZfc

    thumb_up0 voto/sflag
    icon

    César
    el 17/4/19


    thumb_up1 voto/sflag