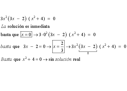
Buenas tardes, esta bien como definición decir que un número complejo es un par ordenador de números reales? Vi esa definición pero un numero es real y el otro imaginario.
Calcular el punto más cercano al punto P=(1,3,0) de entre todos los puntos de la recta determinada por el punto Q=(-2,2,1) y el vector (1,1,1). Calcular la distancia del punto P a la recta

En este pdf tienes todo explicado y ejercicios similares resueltos:
http://www.apuntesmareaverde.org.es/grupos/mat/Bachillerato/BC2%2006%20GMetrica.pdf
Vídeo:
Buenas, tengo una duda de geometría, el ejercicio me da un punto y una recta r y me pide calcular la recta perpendicular a r que pasa por el punto. Como lo hago? Muchas gracias de antemano.

Para la proyección ortogonal de un punto sobre una recta: Página 6 de:
http://www.apuntesmareaverde.org.es/grupos/mat/Bachillerato/BC2%2006%20GMetrica.pdf
Buenas!! Tengo un anagrama que es de la palabra EFERVESCENTEMENTE, me pregunta cuantas palabras se pueden formar de manera que la C no esté en la octava posición pensaba hacer 17!/7!2!2! Siendo 17! la cantidad de espacios, 7! la cantidad de E repetidas y los 2! La cantidad de T y N. Ahora si quiero quitar la posibilidad de la C estando ahí debería hacer 17!/7!2!2! - 16!/7!2!2! ? Ya que esta segunda sería la posibilidad que tendría fijando un lugar, me equivoco?
Por seguridad el propietario quiere colocarle cerca electrica a la casa, para esto debe
conocer ¿Cuántos metros lineales de cerca necesita?. Use técnicas de integración y en el
caso que la integral no tenga primitiva, puede usar un software y coloque la imagen del
resultado que con él obtiene.
Hola! Podrían ayudarme con este ejercicio, ya he podido demostrar la mayoría pero este es el que queda. ¿Existe lgun número a tal que a2 es irracional pero a4 es racional. Yo creo que no pero necesito saber si es correcto, desde ya muchas gracias