¿Me podrían decir cuál es la población de cada uno de estos enunciados?
a) Tipo de transporte que utilizan los vecinos de un barrio para acudir a sus trabajos.
b) Estudios que piensan seguir los estudiantes de un centro escolar al terminar la ESO.
Tengo dudas por ejemplo en el a), porque no sé si la población son todos los tipos de transportes o los vecinos del barrio. Gracias de antemano.
Hola , estoy encallado resolviendo esta ecuación
-2000 + (2100)/(1+x)^(2) = 0
He hecho lo siguiente
(2100)/(1+x)^(2) = 2000
(2100) = 2000 * (1+x^2 + 2x)
Y después lo divido por 2100 y resuelvo por segundo grado, me pueden decir donde esta el error.

al no poner la ecuacion de 2º grado que dices, no sabemos exactamente donde está el error.
Sin embargo, te recuerdo que la ecuacion ax^2 + bx +c =0 está igualada A CERO. es posible que al dividir todo por 2100, hayas puesto un 0 a la izquierda, y eso no es así. 2100/2100 = 1, luego tendrías que pasar el 1 restando a la derecha.
Un saludo,
Vlad
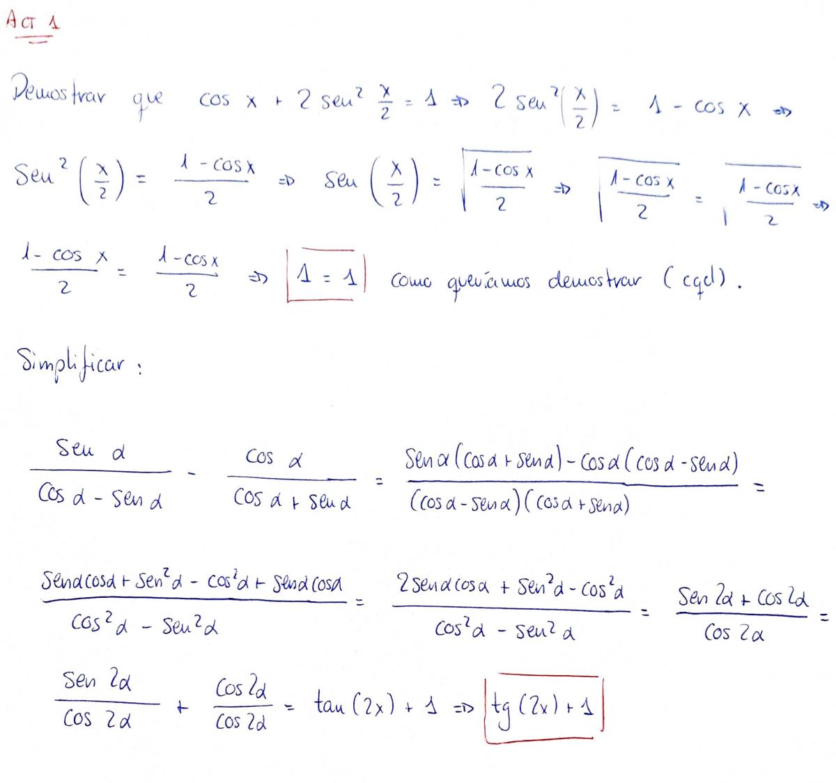
Hola, buenas. Podríais ayudarme con estos dos ejercicios, por favor. Son los únicos 2 de una tanda de 20 que no me salen. Muchas gracias!!![]()
![]()

1)
Tienes la expresión del primer miembro de la identidad trigonométrica:
cosx + 2*sen2(x/2) =
aplicas la identidad del seno de la mitad de un ángulo en función del coseno de dicho ángulo en la base de la potencia en el segundo término, y queda:
= cosx + 2*( √( (1-cosx)/2 ) )2 =
simplificas raíz y potencia en el segundo término, y queda
= cosx + 2*(1-cosx)/2 =
simplificas el factor y el divisor numérico en el segundo término, y queda:
= cosx + 1 - cosx =
cancelas términos opuestos, y queda:
= 1.
2)
Tiemes la expresión trigonométrica:
senx/(cosx-senx) - cosx/(cosx+senx) =
extraes denominador común, y queda:
= ( senx(cosx+senx) - cosx(cosx-senx) ) / (cox-senx)(cosx+senx) =
distribuyes en ambos términos del numerador, distribuyes en el denominador, y queda:
= (senx*cosx + sen2x - cos2x + cosx*senx) / (cos2x + cosx*senx- senx*cosx - sen2x) =
reduces términos semejantes en el numerador, cancelas términos opuestos en el denominador, y queda:
= (2*senx*cosx + sen2x - cos2x) / (cos2x - sen2x) =
aplicas la identidad trigonométrica del seno del doble de un ángulo en el primer término del numerador, permutas los dos últimos términos en el numerador, aplicas la identidad trigonométrica del coseno del doble de un ángulo en el denominador, y queda:
= ( sen(2x) - cos2x + sen2x ) / cos(2x) =
extraes factor común -1 entre los dos últimos términos del numerador, y queda:
= ( sen(2x) - (cos2x - sen2x) ) / cos(2x) =
aplicas la identidad trigonométrica del coseno del doble de un ángulo en el segundo término del numerador, y queda:
= ( sen(2x) - cos(2x) ) / cos(2x) =
distribuyes el denominador entre los dos términos del numerador, y queda:
= sen(2x)/cos(2x) - cos(2x)/cos(2x) =
aplicas la identidad trigonométrica de la tangente de un ángulo en el primer término, simplificas el segundo término, y la expresión queda:
= tan(2x) - 1.
Espero haberte ayudado.
Hola David, creo que en el tercer video de funciones y gráficas de 4º de la ESO, "Dominio, rango, acotación y extremos", al explicar el concepto de máximos en el eje de las abscisas como ya sabemos, citas los puntos 7 y 3 del citado eje, cuando creo que lo que quieres decir en el segundo caso es el valor 0 , siendo por tanto 7 y 0 los valores correctos. Perdona el "atrevimiento", pero por si lo consideras ahí va este correo. Saludos cordiales y gracias por hacer tan ameno el aprendizaje....
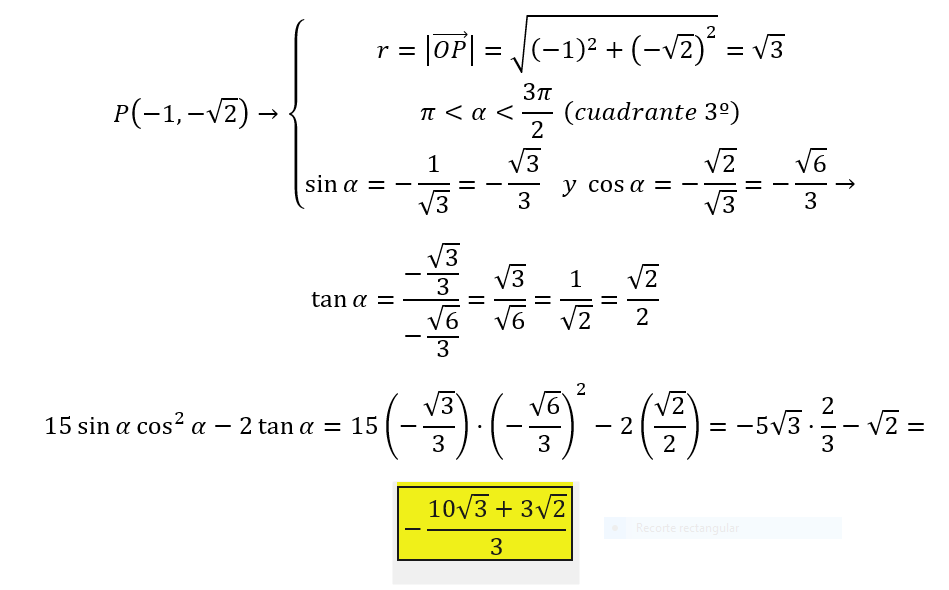
Hola, me tope con unos ejercicios que me tienen pensando hace bastante y no les encuento solución, por favor si me los pueden explicar se los agradecería mucho.
Las cosnignas son la 15 y la 16

¡Hola! Nos encantaría ayudarte, pero no solemos responder dudas universitarias que no tengan que ver específicamente con los vídeos que David Calle ha grabado como excepción. O de otras asignaturas que no sean Matemáticas, Física y Química. Lo sentimos de corazón… Esperamos que lo entiendas.
Ojalá algún unicoo universitario se anime a ayudarte (de hecho, lo ideal es que todos los universitarios intentarais ayudaros los unos a los otros).