Actividad 14: En un saco mezclamos judías blancas y pintas en la relación de 14 blancas por cada pinta. Extraemos al azar un puñado de 100 judías, ¿cuál es la probabilidad de que haya entre 5 y 10 judías pintas en el puñado?
Actividad 14: En un saco mezclamos judías blancas y pintas en la relación de 14 blancas por cada pinta. Extraemos al azar un puñado de 100 judías, ¿cuál es la probabilidad de que haya entre 5 y 10 judías pintas en el puñado?
Actividad 11: Una fábrica de chocolate ha fabricado 800 chocolatinas con un peso medio de 150 gramos y una desviación típica de 20 gramos. Calcula la probabilidad de que una muestra de 80 chocolatinas, elegidas al azar entre las fabricadas, tenga un peso total de 12 kilos y 400 gramos.
Gracias.
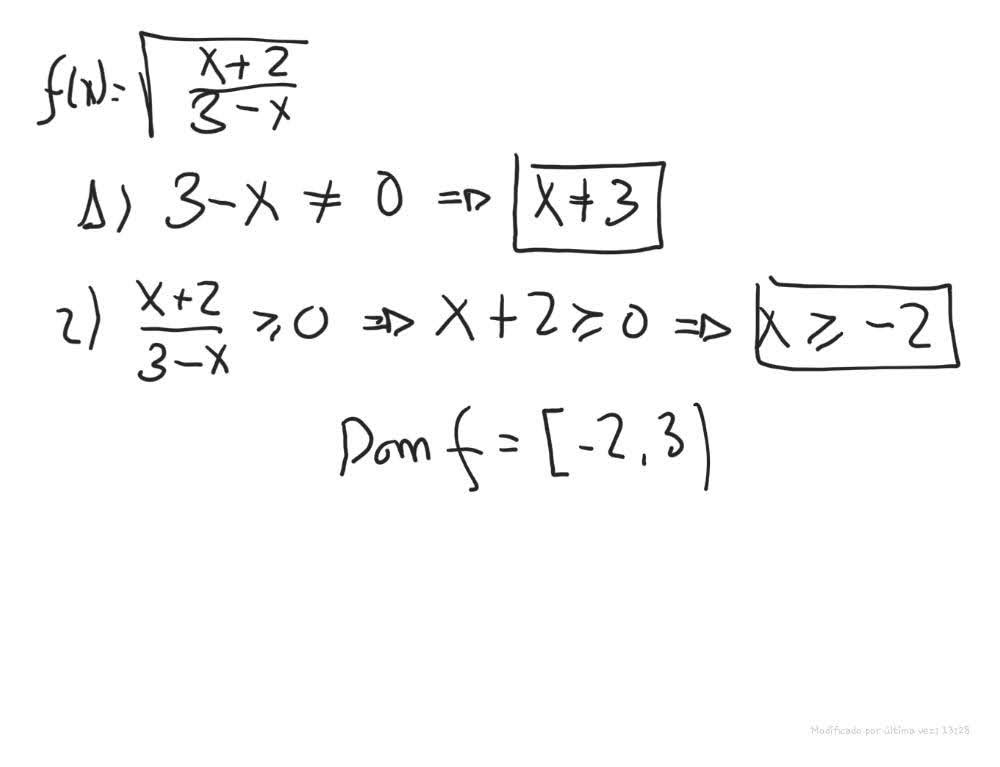
Por favor podéis decirme si esta es la solución: el dominio es de -2 a 3 (el -2 con corchete incluido y el 3 con paréntesis sin estar incluido)
gracias"!!!

Si tienes la expresión de la función es:
f(x) = √( (x+2)/3-x) ),
entonces observa que el argumento de la raíz cuadrada debe tomar valores positivos, y que su denominador debe, además, tomar valores distintos de cero.
Por lo tanto, tienes dos opciones:
1°)
x + 2 ≥ 0 y 3 - x > 0, de donde tienes: x ≥ -2 y x < 3, que corresponde al intervalo: I1 = [-2,3);
2°)
x + 2 ≤ 0 y 3 - x < 0, de donde tienes: x ≤ -2 y x > 3, que corresponde al intervalo: I2 = Φ (intervalo vacío);
por lo que tienes que el dominio de la función queda:
I = I1 ∪ I2 = [-2,3) ∪ Φ = [-2,3), tal como tú has indicado.
Espero haberte ayudado.