Foro de preguntas y respuestas de Matemáticas

logo beUnicoos
Los foros de unicoos se han unificado en nuestra nueva plataforma beUnicoos. Para dejar nuevas preguntas deberás hacerlo allí, donde además podrás encontrar nuevas asignaturas y herramientas para ayudarte más con tus estudios.

  • icon

    inpernu
    el 14/3/19

    Me pueden ayudar con este ejercicio??? "SE SABE QUE EN UN CENTRO EL 30% DE LOS ALUMNOS APRUEBAN LA ASIGNATURA DE MATEMÁTICAS Y EL 40% LA ASIGNATURA DE LENGUA Y EL 5% APRUEBA LAS DOS. cALCULA LA PROBABILIDAD QUE UN ALUMNO: a) apruebe matemáticas o lengua b) aprueba matemáticas y no lengua c) son sucesos independientes? son sucesos compatibles? justifica. d) habiendo aprobado matemáticas, apruebe lengua. Gracias!!

    replythumb_up0 voto/sflag
    icon

    Antonius Benedictus
    el 14/3/19


    thumb_up0 voto/sflag
  • icon

    Francisco
    el 14/3/19

    Me podrían ayudar con el ejercicio 5 apartado c? Gracias 

    replythumb_up1 voto/sflag
    icon

    Antonius Benedictus
    el 14/3/19


    thumb_up1 voto/sflag
  • icon

    Katherine Collaguazo
    el 14/3/19

    Como se que cual de esos vectores son linealmente independientes en apartado a Gracias 

    replythumb_up1 voto/sflag
    icon

    Antonius Benedictus
    el 14/3/19

    El número de vectores linealmente independientes es  el rango de la matriz que forman. Y escogerás los vectores que intervienen en el menor básico, es decir que no son combinación lineal de los demás.

    thumb_up1 voto/sflag
  • icon

    carmela
    el 14/3/19

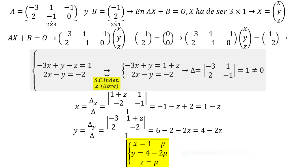
    Hola únicos. Alguien me puede explicar cómo está despejado esto?

    replythumb_up1 voto/sflag
    icon

    Roberto Mulas García
    el 14/3/19

    P·Tf=(P-Po)·Ti;             P·Tf=P·Ti - Po·Ti;          P·Tf-P·Ti = -Po·Ti;         P·(Tf-Ti) = -Po·Ti;      P= (-Po·Ti)/(Tf-Ti); 

    P= (Po·Ti)/(Ti-Tf)

    thumb_up1 voto/sflag
  • icon

    lbp_14
    el 14/3/19

    Hola Unicoos

    No entiendo por qué en el apartado a) calcula el suceso contrario de (A) y (B) y simplemente los multiplica y por qué mi fórmula está mal si es la misma que la solución. 

    Por qué multiplica y no resta las intersecciones como yo?

    Me podrían aclarar por favor 

    Muchísimas gracias


    replythumb_up1 voto/sflag
    icon

    César
    el 26/6/19

    Son sucesos independientes 

    thumb_up0 voto/sflag
  • icon

    Guillermo Fernandez Fernandez
    el 14/3/19

    necesito ayuda para el examen de mañana con esta ecuación porfa


    replythumb_up1 voto/sflag
    icon

    Antonius Benedictus
    el 14/3/19


    thumb_up2 voto/sflag
  • icon

    lbp_14
    el 14/3/19

    Hola Unicoos.

    En el apartado a) entiendo la condición pero no sé por qué en el numerador de la fórmula hay "tres intersecciones"

    Y del apartado c) no entiendo nada 

    He hecho un árbol pero no entiendo cómo lo han planteado aquí.

    Me podrían ayudar? 

    Muchísimas gracias


    replythumb_up0 voto/sflag
    icon

    César
    el 26/6/19


    thumb_up0 voto/sflag
  • icon

    Agustin
    el 14/3/19

    me piden indicar este polinomio como suma infinita

    (resultado de mc laurin de f(x) = ln(2+x) ) 


    Luego me piden que a partir del resultado anterior escriba la suma infinita de f(x) = x. ln(2+x)

    Gracias !

    replythumb_up0 voto/sflag
    icon

    Antonius Benedictus
    el 14/3/19


    thumb_up1 voto/sflag
  • icon

    Tito Indigo
    el 14/3/19

    Hola! Me estoy volviendo loco con este ejercicio, es una distribución uniforme? No encuentro las fórmulas. Gracias!

    replythumb_up0 voto/sflag
    icon

    Antonius Benedictus
    el 14/3/19


    thumb_up1 voto/sflag
  • icon

    Roberto Mulas García
    el 14/3/19

    Me pide la ecuación general de la recta s que pasa por el punto A(1,5) y forma un ángulo de 45º con la recta r: (x-3)/3 = y-2. Me ha dado: x+2y-11=0 estaría bien?


    replythumb_up0 voto/sflag
    icon

    Antonius Benedictus
    el 14/3/19

    Tiene que haber dos soluciones.

    thumb_up0 voto/sflag
    icon

    Antonius Benedictus
    el 14/3/19

    Te mando uno similar:


    thumb_up0 voto/sflag
    icon

    Roberto Mulas García
    el 14/3/19

    Hola, gracias. Sí lo tenía bien; lo único es que no había puesto el valor absoluto en la fórmula. ¿Existe alguna forma de hacerlo sin esa fórmula? Es que a mí me mandaron ese problema pero no tenía esa fórmula y la tuve que buscar. Gracias de antemano

    thumb_up1 voto/sflag
    icon

    Antonius Benedictus
    el 14/3/19


    thumb_up0 voto/sflag
    icon

    Antonius Benedictus
    el 14/3/19


    thumb_up0 voto/sflag